
4,4'-(1,3-丙二基)双吡啶
产品名称
4,4'-(1,3-丙二基)双吡啶
CAS号17252-51-6
分子式C13H14N2
分子量198.26
InChIInChI=1S/C13H14N2/c1(2-12-4-8-14-9-5-12)3-13-6-10-15-11-7-13/h4-11H,1-3H2
InChIKeyOGNCVVRIKNGJHQ-UHFFFAOYSA-N
SmilesC(C1C=CN=CC=1)CCC1C=CN=CC=1
展开
收起
-
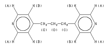
Assign. Shift(ppm)
A 8.50
B 7.10
C 2.63
D 2.00
Spectral Code: 1H NMR : 90 MHz in CDCl3
-
ppm Int. Assign.
150.41 380 1
149.78 951 2
123.80 1000 3
34.43 439 4
30.53 195 5
Spectral Code: 13C NMR : in CDCl3
-
Spectral Code: IR : nujol mull
4,4'-(1,3-丙二基)双吡啶(17252-51-6)Raman光谱 相关产品图谱