图谱信息 供应商 相关产品
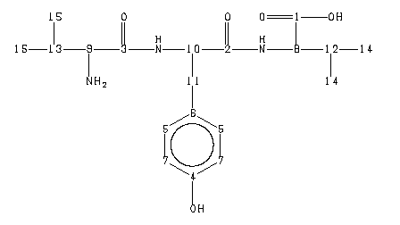
网站主页CAS数据库列表 17355-22-5更多图谱H-VAL-TYR-VAL-OH(17355-22-5)核磁图(13CNMR)

H-VAL-TYR-VAL-OH

产品名称 H-VAL-TYR-VAL-OH

CAS号17355-22-5

分子式C19H29N3O5

分子量379.45

展开



  •        ppm   Int.  Assign.
    178.24 389 1 172.36 442 2 169.71 494 3 155.27 423 4 131.30 971 5 129.10 564 6 116.43 1000 7 61.63 544 8 59.25 467 9 56.24 532 10 36.85 409 11 31.70 587 12 30.81 627 13 19.54 549 14 18.43 590 14 18.24 619 15 17.48 618 15
    Spectral Code: 13C NMR : in D2O