图谱信息 供应商 相关产品
网站主页CAS数据库列表 1740-57-4更多图谱异邻苯二甲酰亚胺(1740-57-4)Raman光谱

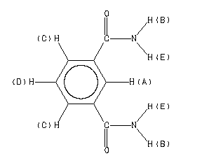
异邻苯二甲酰亚胺

产品名称 异邻苯二甲酰亚胺

CAS号1740-57-4

分子式C8H8N2O2

分子量164.16

展开



  •     Assign.     Shift(ppm)
    A 8.429 B *1 8.12 C 8.041 D 7.570 E *1 7.54
    Spectral Code: 1H NMR : 400 MHz in DMSO-d6



  •        ppm   Int.  Assign.
    167.61 946 1 134.41 1000 2 130.04 815 3 128.20 457 4 126.75 391 5
    Spectral Code: 13C NMR : in DMSO-d6


  • Spectral Code: IR : KBr disc


  • Spectral Code: Raman : 4880 A,200 M,powder