-
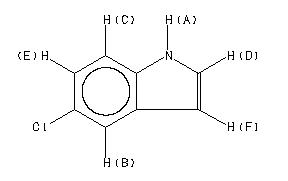
MS-NW-8840 5-chloroindole C8H6ClN (Mass of molecular ion: 151)
Source Temperature: 270 °C Sample Temperature: 150 °C Reservoir, 75 eV
28.0 1.5 38.0 1.1 39.0 2.2 50.0 1.3 51.0 1.1 57.5 4.5 58.0 1.1 61.0 1.2 62.0 4.3 63.0 6.9 64.0 1.3 73.0 2.0 75.0 1.4 75.5 8.6 76.0 1.3 76.5 2.7 86.0 1.4 87.0 2.5 88.0 2.8 89.0 26.4 90.0 3.3 114.0 2.2 115.0 4.8 116.0 19.3 117.0 3.4 123.0 4.7 124.0 11.4 125.0 2.4 126.0 3.7 150.0 3.4 151.0 100.0 152.0 10.3 153.0 32.1 154.0 3.0
400 MHz in CDCl3
90 MHz in CDCl3
-
1H NMR 399.65 MHz C8 H6 Cl N 0.046 g : 0.5 ml CDCl3 5-chloroindole 
Assign. Shift(ppm)
A 8.0 B 7.591 C 7.196 D 7.12 E 7.12 F 6.453 J(A,E)=2.8HZ J(A,F)=2.0HZ J(B,C)=0.7HZ J(B,D)=2.0HZ J(C,D)=8.7HZ J(C,F)=0.8HZ J(E,F)=3.2HZ 90MHZ : HSP-04-949
Hz ppm Int.3196.90 8.000 69 3034.42 7.593 709 3033.69 7.591 537 3032.35 7.588 657 2882.08 7.212 349 2881.35 7.210 444 2880.62 7.208 295 2873.41 7.190 594 2872.68 7.188 715 2871.95 7.187 502 2870.12 7.182 51 2849.73 7.131 664 2848.02 7.127 1000 2845.21 7.120 620 2842.41 7.113 502 2841.43 7.110 447 2839.36 7.105 376 2581.79 6.461 355 2580.93 6.458 385 2579.83 6.456 414 2578.74 6.453 546 2577.76 6.451 373 2576.66 6.448 348 2575.68 6.445 311
-
1H NMR 89.56 MHz C8 H6 Cl N 0.041 g : 0.5 ml CDCl3 5-chloroindole 
Assign. Shift(ppm)
A 8.1 B 7.597 C 7.225 D 7.17 E 7.14 F 6.471 J(B,E)=1.8HZ J(B,F)=2.0HZ J(C,E)=8.7HZ J(C,F)=0.8HZ J(D,F)=3.2HZ 400MHZ : HSP-44-098
Hz ppm Int.681.94 7.615 285 681.13 7.606 506 680.19 7.595 423 679.31 7.585 465 678.50 7.576 282 655.00 7.314 122 654.19 7.305 202 653.38 7.296 138 646.31 7.217 508 645.56 7.209 977 644.75 7.200 551 641.81 7.167 1000 640.31 7.150 688 638.56 7.130 347 634.81 7.089 115 633.50 7.074 176 631.25 7.049 170 582.38 6.503 240 581.56 6.494 269 580.38 6.481 250 579.50 6.471 321 578.38 6.459 247 577.13 6.445 223 576.31 6.435 211
更多供应商







