图谱信息 供应商 相关产品
网站主页CAS数据库列表 17598-02-6更多图谱7-甲氧基-2,2-二甲基色烯(17598-02-6)红外图谱(IR1)

7-甲氧基-2,2-二甲基色烯

产品名称 7-甲氧基-2,2-二甲基色烯

CAS号17598-02-6

分子式C12H14O2

分子量190.24

展开


  • Mass

    MS-NW-5599          
    7-methoxy-2,2-dimethylchromene
    C12H14O2            (Mass of molecular ion:    190)
    

       Source Temperature: 270 °C
       Sample Temperature: 190 °C
       Reservoir, 75 eV
    

          15.0       1.1
          27.0       1.0
          39.0       2.4
          41.0       1.2
          43.0       2.5
          51.0       2.4
          63.0       1.9
          65.0       1.3
          69.0       1.4
          77.0       2.8
          78.0       1.3
          87.5       1.4
          89.0       1.1
          91.0       2.0
         103.0       1.9
         115.0       2.0
         131.0       1.3
         132.0       7.7
         133.0       1.1
         160.0       6.9
         161.0       1.2
         174.0       1.1
         175.0     100.0
         176.0      12.0
         177.0       1.2
         189.0       1.3
         190.0      19.2
         191.0       2.6
    

90 MHz in CDCl3


  • 1H NMR 89.56 MHz
    C12 H14 O2 0.04 ml : 0.5 ml CDCl3
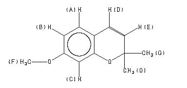
    7-methoxy-2,2-dimethylchromene
    ChemicalStructure
        Assign.     Shift(ppm)
    A 6.864 B 6.41 C 6.37 D 6.266 E 5.460 F 3.755 G 1.415

         Hz     ppm     Int.
    

        620.00   6.923     34
        611.06   6.823     53
        577.81   6.452     34
        575.38   6.425     67
        571.75   6.384     44
        571.13   6.378     34
        569.13   6.355     88
        566.31   6.324     51
        556.44   6.214     54
        493.38   5.509     79
        483.69   5.401     62
        336.31   3.756    533
        128.63   1.437     25
        126.75   1.416   1000
        125.00   1.396     30
    

in CDCl3



liquid film