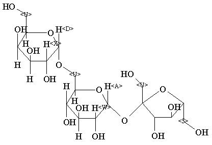
400 MHz in DMSO-d6
-
1H NMR 399.65 MHz C18 H32 O16 0.042 g : 0.5 ml DMSO-d6 D-(+)-raffinose 
Assign. Shift(ppm)
A 5.189 B 5.18 C 5.12 D 4.890 E 4.88 F 4.82 G 4.66 J 4.56 K 4.54 L 4.48 M 4.42 N 4.37 P 3.88 to 3.86 Q 3.71 R 3.64 S 3.58 T 3.49 U 3.44 V 3.41 W 3.213 X 3.140 H2O SIGNAL AT 3.44 PPM REMOVED. PARTIALLY ASSIGNED.
Hz ppm Int.2075.20 5.193 951 2072.39 5.186 578 2069.58 5.179 706 2048.71 5.127 628 2042.60 5.111 628 1957.40 4.898 669 1953.49 4.889 818 1951.66 4.884 749 1948.61 4.876 746 1932.01 4.835 249 1925.66 4.819 639 1919.19 4.803 259 1862.18 4.660 458 1860.11 4.655 466 1827.64 4.574 839 1822.02 4.560 577 1820.07 4.555 822 1817.02 4.547 542 1815.92 4.544 618 1811.52 4.533 430 1794.56 4.491 359 1791.02 4.482 283 1787.84 4.474 375 1773.56 4.438 223 1767.46 4.423 462 1762.70 4.411 227 1749.02 4.377 570 1744.75 4.366 581 1560.55 3.905 202 1552.49 3.885 585 1547.73 3.873 195 1547.36 3.872 193 1544.56 3.865 539 1542.60 3.860 302 1536.74 3.846 273 1529.30 3.827 197 1521.24 3.807 92 1493.04 3.736 176 1482.06 3.709 493 1476.93 3.696 220 1461.91 3.658 152 1455.57 3.643 345 1449.22 3.627 212 1443.36 3.612 96 1439.82 3.603 174 1438.11 3.599 198 1433.47 3.587 759 1430.79 3.581 908 1429.69 3.578 867 1426.88 3.571 1000 1421.02 3.556 346 1415.16 3.541 165 1413.94 3.538 178 1413.57 3.538 177 1412.60 3.535 186 1409.06 3.526 135 1406.25 3.519 203 1401.37 3.507 310 1395.39 3.492 531 1391.85 3.483 501 1386.23 3.469 346 1382.20 3.459 534 1379.39 3.452 832 1378.91 3.451 784 1378.05 3.449 781 1377.81 3.448 781 1377.32 3.447 779 1376.83 3.446 777 1376.46 3.445 776 1376.10 3.444 775 1375.85 3.443 775 1375.12 3.441 772 1374.76 3.440 771 1374.15 3.439 770 1373.66 3.438 768 1373.29 3.437 784 1367.43 3.422 436 1364.14 3.414 737 1357.79 3.398 673 1293.58 3.237 173 1289.79 3.228 154 1287.60 3.222 171 1283.81 3.213 271 1280.27 3.204 146 1277.83 3.198 142 1274.05 3.188 150 1266.60 3.170 142 1260.86 3.155 142 1257.32 3.147 194 1251.46 3.132 194 1247.92 3.123 129 1242.31 3.109 122
更多供应商





