400 MHz in CDCl3
-
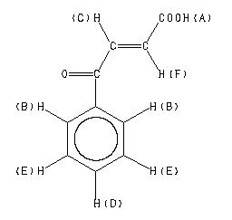
1H NMR 399.65 MHz C10 H8 O3 0.033 g : 0.5 ml CDCl3 trans-3-benzoylacrylic acid 
Assign. Shift(ppm)
A 8.4 B 8.016 C 8.009 D 7.642 E 7.530 F 6.904 J(C,F)=15.6HZ
Hz ppm Int.3209.53 8.031 98 3206.48 8.024 1000 3201.45 8.011 172 3199.46 8.006 607 3198.09 8.003 512 3190.92 7.985 575 3064.27 7.668 72 3062.90 7.664 135 3061.68 7.661 83 3057.56 7.651 97 3055.57 7.646 317 3053.74 7.642 116 3049.47 7.631 145 3048.10 7.627 253 3046.88 7.624 137 3018.80 7.554 90 3017.12 7.550 416 3015.59 7.546 184 3009.19 7.530 582 3003.54 7.516 118 3001.86 7.512 283 2767.03 6.924 300 2751.46 6.885 280
更多供应商

