图谱信息 供应商 相关产品
网站主页CAS数据库列表 17814-85-6更多图谱4-羧丁基三苯基溴化膦(17814-85-6)红外图谱(IR2)

4-羧丁基三苯基溴化膦

产品名称 4-羧丁基三苯基溴化膦

CAS号17814-85-6

分子式C23H24BrO2P

分子量443.31

展开


  • Mass

    MS-IW-0674          
    (4-carboxybutyl)triphenylphosphonium bromide
    C23H24BrO2P         (Mass of molecular ion:    442)
    

       Source Temperature: 210 °C
       Sample Temperature: 210 °C
       Direct, 75 eV
    

          18.0       4.1
          27.0       1.1
          28.0       2.3
          39.0       2.2
          41.0       1.8
          42.0       1.1
          50.0       1.1
          51.0       3.6
          52.0       1.4
          55.0       4.3
          56.0       1.5
          57.0       1.2
          65.0       1.1
          77.0       3.3
          78.0       1.1
          79.0       2.7
          80.0       9.1
          81.0       2.9
          82.0       8.8
          83.0       1.5
          84.0       2.9
          91.0       1.5
         107.0       9.6
         108.0      30.8
         109.0       3.3
         115.0       2.4
         128.0       1.2
         131.0       1.4
         133.0       3.6
         139.0       1.0
         141.0       1.0
         152.0       8.3
         153.0       2.1
         154.0       1.7
         157.0       3.2
         165.0       1.4
         170.0       1.9
         178.0       1.4
         181.0       1.0
         183.0      61.8
         184.0      17.8
         185.0      11.6
         186.0       2.1
         199.0       3.9
         201.0       3.0
         209.0       1.1
         219.0       1.0
         259.0       1.0
         260.0       1.6
         261.0      20.4
         262.0     100.0
         263.0      19.8
         264.0       1.9
         267.0       3.1
         277.0      17.8
         278.0       6.9
         279.0       1.1
         287.0      16.4
         288.0       4.1
         289.0       1.0
         313.0       1.1
         315.0       3.4
         316.0       1.5
         342.0       1.1
         343.0      40.4
         344.0      31.9
         345.0       6.9
    

400 MHz in CDCl3

400 MHz in DMSO-d6


  • 1H NMR 399.65 MHz
    C23 H24 Br O2 P 0.013 g : 0.5 ml CDCl3
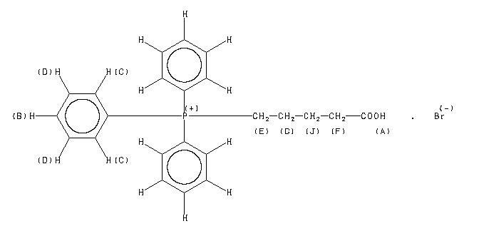
    (4-carboxybutyl)triphenylphosphonium bromide
    ChemicalStructure
        Assign.     Shift(ppm)
    A 7.81 B 7.79 C 7.72 D 3.645 E 2.640 F 1.944 G 1.73

         Hz     ppm     Int.
    

       3146.00   7.872     31
       3145.63   7.871     35
       3140.75   7.859     31
       3140.50   7.859     31
       3139.77   7.857     33
       3138.31   7.853     50
       3137.21   7.850     55
       3136.23   7.848     48
       3133.79   7.842     61
       3132.81   7.839     70
       3132.45   7.838     69
       3131.47   7.836     74
       3129.64   7.831    129
       3128.30   7.828    230
       3126.95   7.825    296
       3126.22   7.823    344
       3124.02   7.817    665
       3122.44   7.813    500
       3121.22   7.810    631
       3119.02   7.805    794
       3116.94   7.800    905
       3115.84   7.797   1000
       3114.14   7.793    727
       3112.79   7.789    680
       3111.45   7.786    876
       3106.45   7.773    274
       3104.25   7.768    918
       3102.78   7.764    748
       3092.41   7.738    664
       3088.87   7.729    761
       3086.06   7.722    591
       3085.21   7.720    687
       3082.40   7.713    638
       3081.54   7.711    730
       3080.69   7.709    680
       3077.51   7.701    370
       3076.54   7.699    289
       3075.56   7.696    225
       3073.97   7.692    298
       3073.00   7.690    234
       3069.34   7.681     46
       3068.73   7.679     40
       1471.31   3.682    107
       1469.48   3.677     67
       1468.51   3.675     68
       1468.14   3.674     67
       1465.94   3.669     76
       1462.77   3.661    111
       1458.13   3.649    158
       1455.08   3.641    167
       1449.83   3.628    106
       1448.12   3.624     77
       1447.27   3.622     76
       1447.02   3.621     76
       1445.19   3.617     60
       1444.70   3.615     61
       1444.46   3.615     61
       1441.77   3.608    106
       1066.89   2.670     31
       1062.13   2.658    188
       1059.20   2.651     95
       1055.30   2.641    394
       1048.34   2.624    199
        792.11   1.983     31
        789.67   1.976     60
        788.33   1.973     50
        787.96   1.972     47
        787.60   1.971     46
        787.23   1.970     47
        786.62   1.969     50
        782.96   1.960    176
        776.00   1.942    261
        769.17   1.925    183
        764.40   1.913     41
        762.94   1.910     53
        762.21   1.908     57
        709.35   1.775     42
        708.98   1.775     41
        708.01   1.772     38
        707.40   1.771     37
        706.67   1.769     37
        706.30   1.768     40
        701.29   1.755    104
        701.05   1.755    104
        699.34   1.750     89
        697.27   1.745     98
        694.09   1.737    156
        693.60   1.736    157
        690.31   1.728    115
        689.33   1.725    117
        689.09   1.725    117
        688.35   1.723    117
        685.91   1.717    146
        683.35   1.710    101
        682.50   1.708     86
        680.91   1.704     70
        680.05   1.702     70
        679.81   1.702     70
        678.10   1.697     84
    


  • 1H NMR 399.65 MHz
    C23 H24 Br O2 P 0.032 g : 0.5 ml DMSO-d6
    (4-carboxybutyl)triphenylphosphonium bromide
    ChemicalStructure
        Assign.     Shift(ppm)
    A 12.1 B 7.91 C 7.83 D 7.79 E 3.668 F 2.302 G 1.713 J 1.576

         Hz     ppm     Int.
    

       3171.34   7.936    120
       3169.33   7.931    122
       3167.32   7.926     94
       3164.20   7.918    287
       3162.37   7.913    308
       3157.06   7.900    217
       3155.41   7.896    227
       3153.76   7.892    114
       3138.74   7.854    286
       3131.60   7.836    553
       3130.32   7.833    481
       3126.47   7.824    237
       3119.69   7.807   1000
       3117.86   7.802    689
       3116.03   7.797    617
       3112.73   7.789    481
       3109.07   7.780    459
       3104.86   7.769    196
       3101.01   7.760    134
       1479.99   3.704     56
       1477.24   3.697     37
       1476.87   3.696     37
       1472.11   3.684     59
       1471.74   3.683     59
       1470.46   3.680     58
       1469.18   3.677     61
       1468.81   3.676     61
       1465.88   3.668     94
       1465.52   3.668     94
       1464.42   3.665     98
       1460.75   3.656     59
       1459.65   3.653     60
       1458.55   3.650     61
       1458.19   3.649     60
       1450.31   3.629     60
        927.37   2.321    136
        920.23   2.303    300
        913.08   2.285    156
        692.55   1.733     93
        685.41   1.716    142
        678.08   1.697    115
        670.57   1.678     43
        641.63   1.606     63
        639.43   1.600     56
        638.52   1.598     55
        634.31   1.588     89
        633.94   1.587     89
        626.61   1.568     84
        621.85   1.556     46
        621.12   1.555     46
        620.38   1.553     46
        619.65   1.551     46
    

in CDCl3

in DMSO-d6





KBr disc



nujol mull