图谱信息 供应商 相关产品
网站主页CAS数据库列表 17892-25-0更多图谱3,5-二溴水杨酰胺(17892-25-0)核磁图(1HNMR)

3,5-二溴水杨酰胺

产品名称 3,5-二溴水杨酰胺

CAS号17892-25-0

分子式C7H5Br2NO2

分子量294.93


  • Mass

    MS-NW-9939          
    3,5-dibromosalicylamide
    C7H5Br2NO2          (Mass of molecular ion:    293)
    

       Source Temperature: 160 °C
       Sample Temperature: 110 °C
       Direct, 75 eV
    

          17.0       1.8
          18.0      10.0
          28.0       2.6
          37.0       2.0
          38.0       1.6
          39.0       1.1
          44.0       7.8
          44.5       1.1
          45.0       1.0
          50.0       1.5
          51.0       1.6
          52.0       1.7
          53.0       4.2
          53.5       4.5
          61.0       6.2
          62.0      13.2
          63.0      10.3
          64.0       1.8
          74.0       1.7
          78.0       1.3
          79.0       1.5
          80.0       2.3
          82.0       2.2
          85.0       1.5
          86.0       1.1
          88.0       1.0
          89.0       1.2
          90.0       3.3
          91.0       3.8
          92.0       1.2
         107.0       2.6
         108.0       2.2
         117.0       1.4
         119.0       1.3
         125.0       1.1
         141.0       8.1
         142.0       1.7
         143.0       8.8
         144.0       1.4
         147.5       1.1
         158.0       1.0
         169.0       2.4
         170.0       3.8
         171.0       2.5
         172.0       2.8
         197.0       9.3
         198.0       2.6
         199.0       9.2
         200.0       2.0
         220.0       3.0
         221.0       1.4
         222.0       5.9
         223.0       2.6
         224.0       2.9
         225.0       1.2
         248.0       5.6
         249.0       1.3
         250.0      10.6
         251.0       1.4
         252.0       5.3
         275.0       1.0
         276.0      51.3
         277.0       6.8
         278.0     100.0
         279.0      10.2
         280.0      49.3
         281.0       4.6
         293.0      21.8
         294.0       1.9
         295.0      42.4
         296.0       3.6
         297.0      20.8
         298.0       1.7
    

400 MHz in DMSO-d6


  • 1H NMR 399.65 MHz
    C7 H5 Br2 N O2 0.035 g : 0.5 ml DMSO-d6
    3,5-dibromosalicylamide
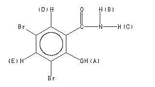
    ChemicalStructure
        Assign.     Shift(ppm)
    A 14.3 B *1 8.74 C *1 8.34 D 8.166 E 7.967

         Hz     ppm     Int.
    

       5717.12  14.306   1000
       3492.24   8.739    179
       3334.33   8.344    186
       3264.88   8.170    824
       3262.74   8.164    890
       3185.17   7.970   1000
       3182.82   7.965    953
       3180.47   7.959     55
    

in DMSO-d6



KBr disc



nujol mull