图谱信息 供应商 相关产品
网站主页CAS数据库列表 18063-03-1更多图谱2,6-二氟苯甲酰胺(18063-03-1)核磁图(1HNMR)

2,6-二氟苯甲酰胺

产品名称 2,6-二氟苯甲酰胺

CAS号18063-03-1

分子式C7H5F2NO

分子量157.12

展开


  • Mass

    MS-NW-9391          
    2,6-difluorobenzamide
    C7H5F2NO            (Mass of molecular ion:    157)
    

       Source Temperature: 270 °C
       Sample Temperature: 160 °C
       Reservoir, 75 eV
    

          18.0       2.7
          28.0       1.8
          31.0       2.4
          37.0       1.6
          39.0       1.0
          44.0      10.4
          50.0       3.1
          51.0       1.0
          56.0       1.0
          57.0       2.6
          61.0       2.3
          62.0       4.1
          63.0      22.8
          64.0       1.8
          64.5       1.2
          68.0       3.5
          69.0       1.9
          70.0       1.0
          74.0       2.8
          75.0       2.3
          81.0       2.2
          87.0       1.3
          88.0       2.7
          92.0       1.2
          93.0       3.6
          94.0       2.6
         101.0       1.2
         112.0       2.5
         113.0      37.5
         114.0       8.7
         139.0       4.6
         140.0       1.0
         141.0     100.0
         142.0       7.6
         157.0      50.4
         158.0       4.4
    

400 MHz in DMSO-d6


  • 1H NMR 399.65 MHz
    C7 H5 F2 N O 0.038 g : 0.5 ml DMSO-d6
    2,6-difluorobenzamide
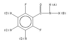
    ChemicalStructure
        Assign.     Shift(ppm)
    A *1 8.16 B *1 7.87 C 7.488 D 7.150

         Hz     ppm     Int.
    

       3262.02   8.163    242
       3146.06   7.873    250
       3007.97   7.527    153
       3001.25   7.510    314
       2999.27   7.505    238
       2994.69   7.494    203
       2992.86   7.489    581
       2991.03   7.485    215
       2986.45   7.473    236
       2985.99   7.472    246
       2984.31   7.468    358
       2977.75   7.451    170
       2870.03   7.182    115
       2868.65   7.178    160
       2865.60   7.171    845
       2861.48   7.160    156
       2860.26   7.157    204
       2857.82   7.151   1000
       2857.21   7.150    945
       2854.92   7.144    217
       2853.55   7.141    155
       2849.58   7.131    738
       2846.22   7.122    152
       2845.15   7.120    109
    

in DMSO-d6



KBr disc



nujol mull