图谱信息 供应商 相关产品
网站主页CAS数据库列表 1823-59-2更多图谱4,4'-氧双邻苯二甲酸酐(1823-59-2)质谱(MS)

4,4'-氧双邻苯二甲酸酐

产品名称 4,4'-氧双邻苯二甲酸酐

CAS号1823-59-2

分子式C16H6O7

分子量310.21

展开


  • Mass

    MS-IW-4947          
    4,4'-oxydiphthalic dianhydride
    C16H6O7             (Mass of molecular ion:    310)
    

       Source Temperature: 170 °C
       Sample Temperature: 220 °C
       Direct, 75 eV
    

          18.0       3.3
          28.0       1.9
          37.0       1.0
          44.0       1.2
          50.0       1.0
          53.0       1.0
          61.0       1.3
          62.0       4.9
          63.0      10.4
          69.0       4.4
          73.0       1.1
          74.0      10.7
          75.0      25.3
          76.0       1.8
          83.0       2.6
          86.0       1.3
          87.0       1.5
          88.0       2.1
         103.0       2.0
         111.0      10.5
         111.5       1.5
         112.0       1.5
         137.0       5.6
         138.0       2.2
         166.0      16.3
         167.0       2.1
         194.0      40.6
         195.0       5.8
         238.0      13.0
         239.0       1.9
         266.0     100.0
         267.0      16.5
         268.0       2.4
         310.0      52.5
         311.0       9.2
         312.0       1.5
    

400 MHz in DMSO-d6


  • 1H NMR 399.65 MHz
    C16 H6 O7 0.037 g : 0.5 ml DMSO-d6
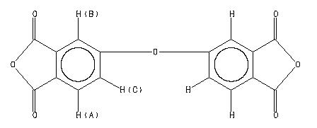
    4,4'-oxydiphthalic dianhydride
    ChemicalStructure
        Assign.     Shift(ppm)
    A 8.194 B 7.775 C 7.745

         Hz     ppm     Int.
    

       3279.54   8.207    727
       3279.17   8.206    721
       3276.12   8.198     48
       3275.02   8.195     51
       3271.36   8.186    796
       3270.87   8.185    793
       3108.28   7.778    765
       3106.57   7.774   1000
       3103.03   7.765     84
       3100.22   7.758    728
       3097.90   7.752    456
       3091.92   7.737    618
       3089.72   7.732    479
    

in DMSO-d6



KBr disc



nujol mull