图谱信息 供应商 相关产品
网站主页CAS数据库列表 18266-55-2更多图谱N-(2-羟乙基)酰丙胺(18266-55-2)质谱(MS)

N-(2-羟乙基)酰丙胺

产品名称 N-(2-羟乙基)酰丙胺

CAS号18266-55-2

分子式C5H11NO2

分子量117.15

展开


  • Mass

    MS-NW-1081          
    N-(2-hydroxyethyl)propionamide
    C5H11NO2            (Mass of molecular ion:    117)
    

       Source Temperature: 240 °C
       Sample Temperature: 170 °C
       Reservoir, 75 eV
    

          15.0       3.5
          18.0       2.8
          19.0       1.4
          26.0       2.6
          27.0      15.1
          28.0       6.8
          29.0      47.3
          30.0     100.0
          31.0       6.0
          41.0       2.4
          42.0       5.8
          43.0       5.9
          44.0       4.3
          45.0       9.9
          54.0       3.4
          55.0       3.4
          56.0       3.1
          57.0      56.7
          58.0       5.1
          59.0       1.2
          60.0       3.0
          69.0       5.5
          70.0      12.1
          71.0       2.5
          74.0      34.0
          75.0       1.3
          86.0      19.7
          87.0      11.2
          88.0       2.7
          98.0       3.1
          99.0      12.7
    

90 MHz in CDCl3


  • 1H NMR 89.56 MHz
    C5 H11 N O2 0.04 ml : 0.5 ml CDCl3
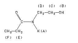
    N-(2-hydroxyethyl)propionamide
    ChemicalStructure
        Assign.     Shift(ppm)
    A 6.8 B 4.10 C 3.68 D 3.39 E 2.238 F 1.154

         Hz     ppm     Int.
    

        366.44   4.092    290
        336.06   3.753    123
        335.25   3.744    120
        330.69   3.693    300
        329.38   3.678    198
        325.75   3.638    273
        311.00   3.473    115
        310.00   3.462    118
        306.50   3.423    134
        304.81   3.404    206
        304.38   3.399    207
        300.69   3.358    139
        299.63   3.346    178
        212.69   2.375     77
        212.25   2.370     78
        204.75   2.287    311
        197.06   2.201    357
        190.00   2.122    124
        110.25   1.232    451
        103.00   1.151   1000
         95.19   1.063    315
    

in CDCl3



liquid film