-
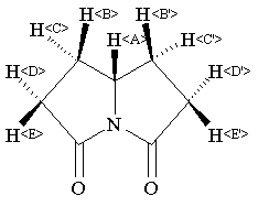
Parameter ppm Hz
D(A) 4.40 D(B) 2.24 D(C) 1.74 D(D) 2.54 D(E) 2.66 J(A,B) 5.9 J(A,B') 5.9 J(A,C) 10.0 J(A,C') 10.0 J(A,D) 0.0 J(A,D') 0.0 J(A,E) 0.0 J(A,E') 0.0 J(B,B') 0.0 J(B,C) -12.5 J(B,C') 0.0 J(B,D) 0.8 J(B,D') 0.0 J(B,E) 8.2 J(B,E') 0.0 J(B',C) 0.0 J(B',C') -12.5 J(B',D) 0.0 J(B',D') 0.8 J(B',E) 0.0 J(B',E') 8.2 J(C,C') 0.0 J(C,D) 8.5 J(C,D') 0.0 J(C,E) 12.7 J(C,E') 0.0 J(C',D) 0.0 J(C',D') 8.5 J(C',E) 0.0 J(C',E') 12.7 J(D,D') 0.0 J(D,E) -17.5 J(D,E') 0.0 J(D',E) 0.0 J(D',E') -17.5 J(E,E') 0.0 AASEN,A.J. ET AL. AUST.J.CHEM. 24, 2575 (1971)Spectral Code: 1H NMR : parameter in CDCl3
更多供应商

