图谱信息 供应商 相关产品
网站主页CAS数据库列表 18362-64-6更多图谱2,6-二甲基-3,5-庚二酮(18362-64-6)质谱(MS)

2,6-二甲基-3,5-庚二酮

产品名称 2,6-二甲基-3,5-庚二酮

CAS号18362-64-6

分子式C9H16O2

分子量156.22

展开


  • Mass

    MS-IW-3848          
    2,6-dimethyl-3,5-heptanedione
    C9H16O2             (Mass of molecular ion:    156)
    

       Source Temperature: 220 °C
       Sample Temperature: 150 °C
       Reservoir, 75 eV
    

          27.0       4.1
          28.0       1.4
          29.0       1.8
          39.0       4.0
          41.0      10.7
          42.0       2.5
          43.0      35.7
          44.0       1.3
          53.0       1.1
          55.0       2.6
          57.0       7.5
          67.0       5.2
          69.0       4.0
          70.0       1.5
          71.0      24.1
          72.0       1.1
          85.0       2.5
          86.0       1.0
          95.0       3.4
          97.0       2.2
         113.0     100.0
         114.0       7.0
         156.0      22.9
         157.0       2.5
    

400 MHz in CDCl3


  • 1H NMR 399.65 MHz
    C9 H16 O2 0.05 ml : 0.5 ml CDCl3
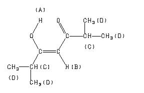
    2,6-dimethyl-3,5-heptanedione
    ChemicalStructure
        Assign.     Shift(ppm)
    A 15.68 B 5.527 C 2.482 D 1.149

         Hz     ppm     Int.
    

       6265.38  15.678     21
       2209.23   5.528    314
       1006.10   2.518     56
        999.27   2.501    133
        992.19   2.483    178
        985.35   2.466    141
        978.27   2.448     62
        462.89   1.159   1000
        455.81   1.141    923
    

in CDCl3



liquid film