-
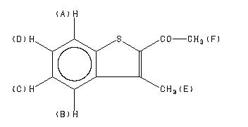
MS-IW-2763 2-acetyl-3-methylbenzo(b)thiophene C11H10OS (Mass of molecular ion: 190)
Source Temperature: 220 °C Sample Temperature: 160 °C Reservoir, 75 eV
39.0 1.8 43.0 4.4 45.0 5.6 50.0 1.1 51.0 2.4 63.0 2.3 69.0 5.7 73.5 1.7 74.0 1.2 75.0 1.5 76.0 1.1 77.0 6.3 87.5 1.8 89.0 1.1 93.0 1.0 95.0 1.7 101.0 1.0 102.0 4.5 103.0 7.8 115.0 5.2 121.0 2.0 128.0 1.2 145.0 3.6 146.0 1.9 147.0 30.5 148.0 3.5 149.0 1.6 175.0 100.0 176.0 11.7 177.0 5.3 190.0 49.7 191.0 6.4 192.0 2.7
400 MHz in DMSO-d6
-
1H NMR 399.65 MHz C11 H10 O S 0.051 g : 0.5 ml DMSO-d6 2-acetyl-3-methylbenzo(b)thiophene 
Assign. Shift(ppm)
A 7.99 B 7.98 C 7.550 D 7.488 E 2.693 F 2.617
Hz ppm Int.3201.29 8.011 73 3200.56 8.009 98 3200.07 8.008 91 3199.46 8.006 74 3193.97 7.992 93 3192.63 7.989 245 3191.41 7.986 94 3185.79 7.972 84 3185.18 7.970 93 3184.57 7.969 95 3183.84 7.967 69 3026.25 7.573 49 3024.78 7.569 41 3019.17 7.555 87 3017.94 7.552 86 3016.97 7.550 50 3011.23 7.535 78 3009.89 7.532 70 2999.63 7.506 85 2998.41 7.503 88 2992.55 7.488 63 2991.58 7.486 92 2990.36 7.483 83 2984.62 7.469 44 2983.28 7.465 48 1076.29 2.694 937 1046.02 2.618 1000 1042.85 2.610 34
更多供应商





