图谱信息 供应商 相关产品
网站主页CAS数据库列表 1888-91-1更多图谱N-乙酰己内酰胺(1888-91-1)红外图谱(IR2)

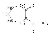
N-乙酰己内酰胺

产品名称 N-乙酰己内酰胺

CAS号1888-91-1

分子式C8H13NO2

分子量155.19

展开

90 MHz in CDCl3


  • 1H NMR 89.56 MHz
    C8 H13 N O2 0.04 ml : 0.5 ml CDCl3
    N-acetyl-6-hexanelactam
    ChemicalStructure
        Assign.     Shift(ppm)
    A 3.90 B 2.73 C 2.493 D 2.04 to 1.49

         Hz     ppm     Int.
    

        354.00   3.953     51
        348.38   3.890     49
        347.75   3.883     50
        347.25   3.878     47
        346.25   3.867     44
        345.00   3.853     44
        344.63   3.849     43
        244.31   2.728     42
        239.25   2.672     48
        223.31   2.494   1000
        162.56   1.816     47
        161.69   1.806     50
        155.50   1.737    204
        154.13   1.721    153
        149.63   1.671     42
        149.31   1.668     42
    

CCl4 solution



liquid film



4880 A,200 M,liquid