图谱信息 供应商 相关产品
网站主页CAS数据库列表 18944-77-9更多图谱o-fluorocinnamic acid (18944-77-9)红外图谱(IR1)

o-fluorocinnamic acid

产品名称 o-fluorocinnamic acid

CAS号18944-77-9

分子式C9H7FO2

分子量166.15

展开


  • Mass

    MS-NW-7275          
    trans-2-fluorocinnamic acid
    C9H7FO2             (Mass of molecular ion:    166)
    

       Source Temperature: 220 °C
       Sample Temperature: 190 °C
       Reservoir, 75 eV
    

          27.0       2.0
          28.0       2.5
          31.0       1.7
          37.0       1.5
          38.0       2.1
          39.0       4.7
          43.0       1.8
          44.0       2.7
          45.0       5.8
          49.0       1.9
          50.0      11.6
          50.5       6.0
          51.0      16.3
          52.0       2.5
          53.0       1.2
          54.0       1.1
          55.0       2.4
          57.0       4.2
          59.0       1.4
          60.0       9.9
          60.5       6.9
          61.0       3.2
          62.0       4.1
          63.0       7.2
          64.0       1.4
          68.0       4.7
          69.0       8.7
          70.0       6.2
          71.0       2.3
          73.0       2.8
          74.0      11.4
          74.5       4.8
          75.0      35.9
          76.0       4.9
          77.0       2.9
          79.0       1.2
          81.0       4.0
          83.0       6.9
          86.0       1.3
          87.0       1.9
          89.0       4.2
          90.0       9.0
          91.0       3.5
          92.0       2.0
          93.0       3.1
          94.0       8.8
          95.0       9.7
          96.0       6.6
          97.0       4.0
          98.0       2.5
          99.0       3.6
         100.0       2.5
         101.0      81.3
         102.0       9.1
         103.0       3.5
         105.0       1.6
         107.0       1.6
         109.0      23.7
         110.0       3.1
         112.0       1.0
         118.0      92.3
         119.0       9.9
         120.0      27.8
         121.0      49.8
         122.0       5.5
         123.0       4.6
         125.0       5.9
         137.0       2.5
         138.0       4.5
         146.0      36.1
         147.0      25.6
         148.0       4.2
         149.0      40.1
         150.0       4.3
         165.0      24.1
         166.0     100.0
         167.0      10.4
         168.0       1.1
         194.0       1.3
    

400 MHz in DMSO-d6


  • 1H NMR 399.65 MHz
    C9 H7 F O2 0.042 g : 0.5 ml DMSO-d6
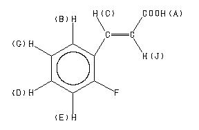
    trans-2-fluorocinnamic acid
    ChemicalStructure
        Assign.     Shift(ppm)
    A 12.64 B 7.859 C 7.702 D 7.496 E 7.30 G 7.28 J 6.634 J(C,J)=16.3HZ J(D,F-19)=5.5HZ

         Hz     ppm     Int.
    

       5050.81  12.639    161
       3149.55   7.881    175
       3147.90   7.877    204
       3141.85   7.862    327
       3140.21   7.858    394
       3133.61   7.841    175
       3132.15   7.838    201
       3086.91   7.725    642
       3070.60   7.684    690
       3007.96   7.527     98
       3006.31   7.523    117
       3002.47   7.513    115
       3000.82   7.509    234
       2999.53   7.506    205
       2998.99   7.505    213
       2998.07   7.502    188
       2994.59   7.494    190
       2993.49   7.491    221
       2992.39   7.488    287
       2990.74   7.484    180
       2986.90   7.474    143
       2985.25   7.470    144
       2930.11   7.332    236
       2929.02   7.329    307
       2921.69   7.311    226
       2920.77   7.309    283
       2918.57   7.303    706
       2910.70   7.284    778
       2903.56   7.266    232
       2902.82   7.264    231
       2902.46   7.263    221
       2659.39   6.655   1000
       2643.09   6.614    919
    

in DMSO-d6



KBr disc



nujol mull



4880 A,200 M,powder