图谱信息 供应商 相关产品
网站主页CAS数据库列表 18968-05-3更多图谱1,3,4,6-四-氧-乙酰-Β-D-吡啶甘露糖(18968-05-3)红外图谱(IR2)

1,3,4,6-四-氧-乙酰-Β-D-吡啶甘露糖

产品名称 1,3,4,6-四-氧-乙酰-Β-D-吡啶甘露糖

CAS号18968-05-3

分子式C14H20O10

分子量348.3

展开


  • Mass

    MS-IW-5664          
    1,3,4,6-tetra-O-acetyl-beta-D-mannopyranose
    C14H20O10           (Mass of molecular ion:    348)
    

       Source Temperature: 170 °C
       Sample Temperature: 160 °C
       Direct, 75 eV
    

          14.0       1.1
          15.0       4.5
          18.0       3.5
          27.0       1.1
          28.0       2.2
          29.0       1.9
          41.0       1.4
          42.0       5.6
          43.0     100.0
          44.0       5.1
          45.0       7.0
          53.0       1.0
          55.0       2.4
          57.0       1.2
          60.0       8.7
          61.0       3.6
          69.0       4.6
          70.0       2.9
          71.0       1.8
          73.0      13.4
          74.0       1.3
          80.0       2.0
          81.0       4.7
          84.0       1.3
          85.0       8.2
          86.0       4.4
          96.0       1.8
          97.0      13.3
          98.0      29.6
          99.0       4.3
         101.0       3.0
         102.0       6.4
         103.0      12.1
         109.0       2.7
         112.0       1.8
         113.0       3.6
         114.0       4.8
         115.0      38.1
         116.0       5.5
         126.0       6.8
         127.0       3.9
         128.0       1.1
         131.0       1.4
         139.0       2.6
         140.0       9.0
         141.0       1.5
         143.0       3.2
         144.0       3.6
         145.0       7.8
         155.0       1.3
         156.0       1.9
         157.0      22.0
         158.0       6.4
         168.0       1.7
         169.0       1.9
         182.0       1.0
         186.0       2.4
         187.0       2.3
         199.0       2.5
         200.0       7.5
         203.0       1.4
         215.0       2.3
         242.0       1.9
         245.0       1.3
    

400 MHz in CDCl3


  • 1H NMR 399.65 MHz
    C14 H20 O10 0.042 g : 0.5 ml CDCl3
    1,3,4,6-tetra-O-acetyl-beta-D-mannopyranose
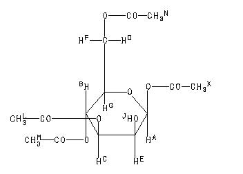
    ChemicalStructure
        Assign.     Shift(ppm)
    A 5.797 B 5.391 C 5.043 D 4.303 E 4.205 F 4.135 G 3.794 J 2.60 K *1 2.181 L *1 2.116 M *1 2.090 N *1 2.055 ASSIGNED BY C-H AND H-H COSY, AND ADDITION OF D2O. J(A,E)=1.1HZ J(E,C)=2.9HZ J(E,J)=3.0HZ J(B,C)=9.8HZ J(B,G)=9.9HZ J(D,F)=-12.5HZ J(D,G)=5.0HZ J(F,G)=2.3HZ

         Hz     ppm     Int.
    

       2317.26   5.799    200
       2316.16   5.796    203
       2164.67   5.417     63
       2154.91   5.392    138
       2145.02   5.368     75
       2021.73   5.059     84
       2018.80   5.052     82
       2011.96   5.035     72
       2008.91   5.027     73
       1729.49   4.328     55
       1724.49   4.316     59
       1717.04   4.297     78
       1712.04   4.284     79
       1683.72   4.213     45
       1680.79   4.206     78
       1677.98   4.199     47
       1658.94   4.151     75
       1656.62   4.146     80
       1646.48   4.120     56
       1644.17   4.115     55
       1524.78   3.816     37
       1522.34   3.810     43
       1519.78   3.803     42
       1517.46   3.797     36
       1514.89   3.791     38
       1512.57   3.785     43
       1509.89   3.779     40
       1507.57   3.773     33
       1039.67   2.602     55
       1036.38   2.594     47
        871.70   2.182    997
        845.70   2.117    996
        835.21   2.090    973
        821.41   2.056   1000
    

in CDCl3



KBr disc



nujol mull