图谱信息 供应商 相关产品
网站主页CAS数据库列表 1904-58-1更多图谱(2-氨基苯甲酰)肼(1904-58-1)红外图谱(IR2)

(2-氨基苯甲酰)肼

产品名称 (2-氨基苯甲酰)肼

CAS号1904-58-1

分子式C7H9N3O

分子量151.17

展开


  • Mass

    MS-NW-9729          
    anthranilohydrazide
    C7H9N3O             (Mass of molecular ion:    151)
    

       Source Temperature: 150 °C
       Sample Temperature: 100 °C
       Direct, 75 eV
    

          39.0       4.1
          52.0       1.9
          63.0       2.2
          64.0       2.3
          65.0      21.9
          66.0       2.7
          91.0       1.8
          92.0      39.8
          93.0       3.4
         119.0       1.0
         120.0     100.0
         121.0       8.1
         151.0      31.3
         152.0       3.5
    

400 MHz in DMSO-d6


  • 1H NMR 399.65 MHz
    C7 H9 N3 O 0.033 g : 0.5 ml DMSO-d6
    anthranilohydrazide
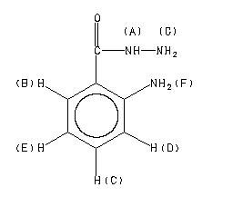
    ChemicalStructure
        Assign.     Shift(ppm)
    A 9.47 B 7.422 C 7.121 D 6.694 E 6.484 F 6.33 G 4.38

         Hz     ppm     Int.
    

       3786.16   9.474    373
       2971.04   7.435    480
       2969.51   7.431    509
       2963.10   7.415    516
       2961.73   7.411    518
       2854.61   7.143    295
       2853.09   7.139    298
       2847.44   7.125    366
       2846.22   7.122    535
       2844.85   7.119    373
       2842.10   7.112     34
       2839.36   7.105    351
       2837.68   7.101    337
       2679.90   6.706    611
       2678.68   6.703    688
       2674.41   6.692     34
       2671.66   6.686    583
       2670.44   6.682    615
       2599.18   6.504    395
       2597.96   6.501    391
       2595.37   6.495     30
       2592.01   6.486    472
       2591.25   6.484    621
       2590.18   6.482    446
       2584.23   6.467    369
       2583.01   6.464    353
       2530.98   6.333    829
       1750.64   4.381   1000
    

in DMSO-d6



KBr disc



nujol mull