图谱信息 供应商 相关产品
网站主页CAS数据库列表 1916-08-1更多图谱3,4-二甲氧基-5-羟基苯甲酸(1916-08-1)红外图谱(IR1)

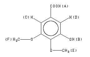
3,4-二甲氧基-5-羟基苯甲酸

产品名称 3,4-二甲氧基-5-羟基苯甲酸

CAS号1916-08-1

分子式C9H10O5

分子量198.17

400 MHz in DMSO-d6


  • 1H NMR 399.65 MHz
    C9 H10 O5 0.040 g : 0.5 ml DMSO-d6
    3-hydroxy-4,5-dimethoxybenzoic acid
    ChemicalStructure
        Assign.     Shift(ppm)
    A *1 12.78 B *1 9.57 C 7.149 D 7.074 E *2 3.826 F *2 3.751 J(C,D)=1.9HZ

         Hz     ppm     Int.
    

       5107.05  12.779     26
       3824.52   9.570     35
       2858.24   7.152    183
       2856.31   7.148    200
       2828.54   7.078    180
       2826.40   7.073    159
       1529.34   3.827    754
       1503.48   3.762     36
       1500.28   3.754   1000
    

in DMSO-d6



KBr disc



nujol mull