图谱信息 供应商 相关产品
网站主页CAS数据库列表 1934-21-0更多图谱酸性黄 23(1934-21-0)Raman光谱

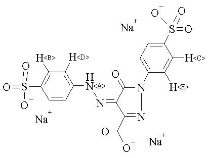
酸性黄 23

产品名称 酸性黄 23

CAS号1934-21-0

分子式C16H13N4NaO9S2

分子量492.41

展开

400 MHz in DMSO-d6


  • 1H NMR 399.65 MHz
    C16 H9 N4 Na3 O9 S2 0.039 g : 0.5 ml DMSO-d6
    tartrazine
    ChemicalStructure
        Assign.     Shift(ppm)
    A 18.9 B 7.98 C 7.73 D 7.72 E 7.43

         Hz     ppm     Int.
    

       7561.75  18.921    480
       7553.50  18.901     31
       7552.40  18.898     25
       7551.58  18.896     24
       3194.99   7.995    688
       3186.47   7.974    865
       3094.09   7.743    793
       3091.07   7.735   1000
       3085.57   7.721    972
       3082.27   7.713    894
       2974.22   7.443    727
       2965.43   7.421    675
    

KBr disc



nujol mull