图谱信息 供应商 相关产品
网站主页CAS数据库列表 19372-80-6更多图谱2-氯-N,N-二乙基苯胺(19372-80-6)红外图谱(IR1)

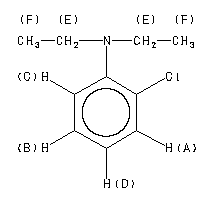
2-氯-N,N-二乙基苯胺

产品名称 2-氯-N,N-二乙基苯胺

CAS号19372-80-6

分子式C10H14ClN

分子量183.68

展开



  •     Assign.     Shift(ppm)
    A 7.347 B 7.163 C 7.057 D 6.929 E 3.113 F 1.016
    Spectral Code: 1H NMR : 400 MHz in CDCl3


  • Spectral Code: IR : liquid film