2-PHENOXY-NAPHTHALENE
产品名称
2-PHENOXY-NAPHTHALENE
CAS号 19420-29-2
分子式 C16H12O
分子量 220.26588
InChI InChI=1S/C16H12O/c1-2-8-15(9-3-1)17-16-11-10-13-6-4-5-7-14(13)12-16/h1-12H
InChIKey IYDAQAZENRCVOL-UHFFFAOYSA-N
Smiles C12=CC=CC=C1C=CC(OC1C=CC=CC=1)=C2
展开
收起
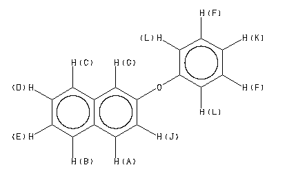
Assign. Shift(ppm)
A 7.829
B *1 7.818
C *1 7.694
D *2 7.445
E *2 7.40
F 7.36
G 7.312
J 7.265
K 7.139
L 7.075
J(A,J)=8.8HZ. J(G,J)=2.4HZ.
CONFIRMED BY LAOCN PROGRAM.
Spectral Code: 1H NMR : 400 MHz in CDCl3
ppm Int. Assign.
157.18 100 1
155.06 120 2
134.31 130 3
130.14 140 4
129.81 440 5
129.76 1000 6
127.68 540 7
127.08 480 8
126.45 510 9
124.62 510 10
123.36 540 11
119.94 450 12
119.06 870 13
114.08 540 14
10002
Spectral Code: 13C NMR : in CDCl3
Spectral Code: IR : nujol mull
2-PHENOXY-NAPHTHALENE(19420-29-2)红外图谱(IR1) 相关产品图谱