图谱信息 供应商 相关产品
网站主页CAS数据库列表 19438-61-0更多图谱4-甲基苯酐(19438-61-0)红外图谱(IR2)

4-甲基苯酐

产品名称 4-甲基苯酐

CAS号19438-61-0

分子式C9H6O3

分子量162.14


  • Mass

    MS-IW-4852          
    4-methylphthalic anhydride
    C9H6O3              (Mass of molecular ion:    162)
    

       Source Temperature: 220 °C
       Sample Temperature: 150 °C
       Reservoir, 75 eV
    

          27.0       1.0
          28.0       1.9
          37.0       2.4
          38.0       3.1
          39.0       9.0
          40.0       2.2
          43.0       5.5
          43.5       1.4
          44.0       2.7
          44.5       2.8
          45.0       8.4
          49.0       1.3
          50.0       6.8
          51.0       5.2
          59.0       1.7
          61.0       4.1
          62.0       9.8
          63.0      19.9
          64.0       8.2
          73.0       1.0
          74.0       3.8
          75.0       2.7
          77.0       1.0
          85.0       1.8
          86.0       3.1
          87.0       2.5
          88.0       1.3
          89.0      42.1
          90.0      62.8
          91.0       6.6
         118.0     100.0
         119.0      10.4
         136.0       1.6
         162.0      47.5
         163.0       5.0
    

400 MHz in DMSO-d6


  • 1H NMR 399.65 MHz
    C9 H6 O3 0.037 g : 0.5 ml DMSO-d6
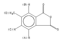
    4-methylphthalic anhydride
    ChemicalStructure
        Assign.     Shift(ppm)
    A 7.961 B 7.907 C 7.816 D 2.536

         Hz     ppm     Int.
    

       3186.18   7.973    173
       3178.67   7.954    225
       3161.64   7.912    150
       3160.90   7.910    238
       3160.17   7.908    271
       3159.44   7.906    246
       3158.71   7.904    151
       3128.12   7.828    132
       3127.38   7.826    154
       3126.65   7.824    146
       3126.10   7.823    111
       3120.42   7.808     98
       3119.69   7.807    121
       3118.96   7.805    116
       3118.23   7.803     94
       1013.83   2.537   1000
       1009.98   2.528     43
    

KBr disc



nujol mull