图谱信息 供应商 相关产品
网站主页CAS数据库列表 19501-58-7更多图谱4-甲氧基苯肼盐酸盐(19501-58-7)核磁图(1HNMR)

4-甲氧基苯肼盐酸盐

产品名称 4-甲氧基苯肼盐酸盐

CAS号19501-58-7

分子式C7H11ClN2O

分子量174.63

展开


  • Mass

    MS-NW-8101          
    (p-methoxyphenyl)hydrazine hydrochloride
    C7H10N2O HCl        (Mass of molecular ion:    138)
    

       Source Temperature: 180 °C
       Sample Temperature: 140 °C
       Direct, 75 eV
    

          15.0       1.5
          17.0       1.9
          18.0       8.4
          26.0       1.1
          27.0       1.6
          28.0       4.2
          29.0       1.9
          35.0       3.1
          36.0      35.7
          37.0       1.3
          38.0      12.3
          39.0       4.9
          40.0       1.0
          41.0       9.2
          42.0       1.2
          50.0       2.8
          51.0       5.1
          52.0       9.0
          53.0       5.5
          54.0       1.4
          55.0       1.2
          62.0       1.6
          63.0       5.7
          64.0       5.3
          65.0       8.6
          66.0       2.8
          67.0       3.5
          68.0       1.3
          69.0       1.3
          77.0       9.5
          78.0       7.6
          79.0       5.1
          80.0      18.7
          81.0       1.8
          90.0       1.6
          91.0       1.2
          92.0       4.3
          93.0       2.3
          94.0       3.1
          95.0      16.7
          96.0       1.4
         106.0       2.3
         107.0       4.8
         108.0       8.0
         122.0      76.1
         123.0      53.9
         124.0       4.1
         136.0       2.5
         137.0       1.8
         138.0     100.0
         139.0       8.7
    

400 MHz in DMSO-d6


  • 1H NMR 399.65 MHz
    C7 H10 N2 O 0.034 g : 0.5 ml DMSO-d6
    (p-methoxyphenyl)hydrazine hydrochloride
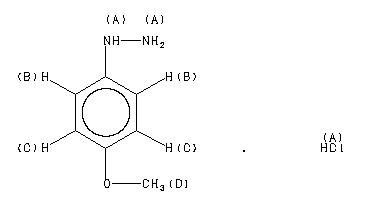
    ChemicalStructure
        Assign.     Shift(ppm)
    A 10. B 7.049 C 6.880 D 3.703

         Hz     ppm     Int.
    

       2822.23   7.062    192
       2820.03   7.057     66
       2815.64   7.046     73
       2813.25   7.040    252
       2809.77   7.031     31
       2757.39   6.900     27
       2753.91   6.891    262
       2751.71   6.886     75
       2747.13   6.874     68
       2744.93   6.869    201
       2741.45   6.860     22
       1480.17   3.704   1000
    

KBr disc