-
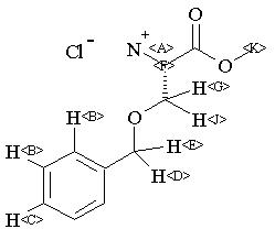
MS-IW-5496 o-benzyl-L-serine methyl ester hydrochloride C11H15NO3 HCl (Mass of molecular ion: 209)
Source Temperature: 160 °C Sample Temperature: 130 °C Direct, 75 eV
15.0 1.7 28.0 3.4 29.0 1.1 30.0 1.4 33.0 6.6 35.0 1.3 36.0 19.0 38.0 6.3 39.0 2.6 41.0 2.0 42.0 9.6 43.0 5.0 44.0 3.6 51.0 2.7 60.0 2.1 63.0 1.6 65.0 9.4 71.0 1.0 75.0 2.1 77.0 4.3 78.0 1.0 79.0 6.0 87.0 4.7 88.0 100.0 89.0 6.5 90.0 2.3 91.0 99.7 92.0 10.9 101.0 3.7 102.0 1.0 103.0 45.8 104.0 2.5 105.0 1.4 107.0 5.0 108.0 6.3 118.0 1.1 120.0 18.6 121.0 1.9 150.0 21.1 151.0 2.2
400 MHz in CDCl3
-
1H NMR 399.65 MHz C11 H15 N O3 0.029 g : 0.5 ml CDCl3 O-benzyl-L-serine methyl ester hydrochloride 
Assign. Shift(ppm)
A 8.84 B 7.30 C 7.26 D *1 4.683 E *1 4.488 F 4.444 G *2 4.093 J *2 3.971 K 3.720
Hz ppm Int.3534.85 8.845 103 2919.01 7.304 424 2915.80 7.296 338 2914.73 7.294 369 2908.78 7.279 35 2906.95 7.274 62 2902.37 7.263 60 2899.32 7.255 57 2898.86 7.254 57 2897.95 7.252 61 2895.81 7.246 43 2893.68 7.241 64 1878.66 4.701 123 1866.46 4.671 162 1799.01 4.502 166 1786.80 4.471 132 1779.48 4.453 47 1776.12 4.445 81 1773.07 4.437 49 1643.37 4.113 46 1640.32 4.105 49 1633.00 4.087 72 1629.94 4.079 64 1593.48 3.988 66 1589.51 3.978 68 1583.10 3.962 51 1579.13 3.952 47 1486.97 3.721 1000
更多供应商





