图谱信息 供应商 相关产品
网站主页CAS数据库列表 19653-76-0更多图谱H-TRP-TYR-OH(19653-76-0)核磁图(13CNMR)

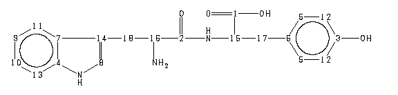
H-TRP-TYR-OH

产品名称 H-TRP-TYR-OH

CAS号19653-76-0

分子式C20H21N3O4

分子量367.4

展开



  •        ppm   Int.  Assign.
    177.59 267 1 169.08 257 2 154.97 269 3 137.18 193 4 131.33 1000 5 130.24 369 6 127.32 230 7 126.15 422 8 123.04 459 9 * 120.41 460 10 * 118.95 454 11 * 116.13 976 12 112.91 443 13 107.19 279 14 57.65 462 15 54.21 419 16 37.44 369 17 27.50 381 18
    Spectral Code: 13C NMR : in D2O