图谱信息 供应商 相关产品
网站主页CAS数据库列表 19718-45-7更多图谱丙氧基萘(19718-45-7)核磁图(1HNMR)

丙氧基萘

产品名称 丙氧基萘

CAS号19718-45-7

分子式C13H14O

分子量186.25

展开



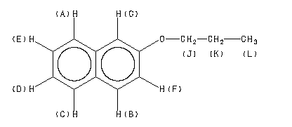
  •     Assign.     Shift(ppm)
    A *1 7.734 B 7.706 C *1 7.695 D *2 7.406 E *2 7.302 F 7.140 G 7.104 J 3.999 K 1.850 L 1.060
    Spectral Code: 1H NMR : 400 MHz in CDCl3



  •        ppm   Int.  Assign.
    157.15 519 1 134.70 503 2 129.28 920 3 128.96 626 4 127.62 968 5 126.69 818 6 * 126.23 947 7 * 123.41 877 8 119.02 888 9 106.66 840 10 69.44 1000 11 22.58 845 12 10.54 743 13
    Spectral Code: 13C NMR : in CDCl3


  • Spectral Code: IR : nujol mull