图谱信息 供应商 相关产品
网站主页CAS数据库列表 19727-83-4更多图谱6-硝基吲哚啉(19727-83-4)红外图谱(IR2)

6-硝基吲哚啉

产品名称 6-硝基吲哚啉

CAS号19727-83-4

分子式C8H8N2O2

分子量164.16

展开


  • Mass

    MS-NW-2600          
    6-nitroindoline
    C8H8N2O2            (Mass of molecular ion:    164)
    

       Source Temperature: 290 °C
       Sample Temperature: 180 °C
       Reservoir, 75 eV
    

          18.0       3.6
          27.0       2.1
          28.0       3.0
          30.0       2.0
          37.0       1.0
          38.0       2.2
          39.0       8.0
          40.0       1.1
          41.0       2.1
          50.0       3.3
          51.0       6.8
          52.0       3.6
          53.0       1.4
          58.0       1.7
          60.0       1.3
          61.0       4.2
          62.0      12.9
          63.0       3.5
          64.0      11.8
          65.0       1.9
          74.0       1.0
          75.0       1.3
          76.0       1.7
          77.0       5.6
          78.0       3.8
          79.0       3.3
          87.0       1.4
          88.0       1.3
          89.0      24.9
          90.0      16.5
          91.0      28.5
          92.0       3.5
         104.0       3.5
         105.0       1.9
         106.0       6.1
         116.0      11.5
         117.0      61.0
         118.0      97.6
         119.0       9.2
         131.0       1.1
         132.0       4.0
         133.0       1.6
         134.0       6.0
         146.0       5.7
         147.0       2.3
         148.0       1.1
         158.0       1.2
         162.0       3.0
         163.0      11.9
         164.0     100.0
         165.0       9.8
    

90 MHz in CDCl3


  • 1H NMR 89.56 MHz
    C8 H8 N2 O2 saturated in CDCl3
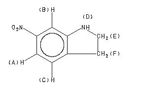
    6-nitroindoline
    ChemicalStructure
        Assign.     Shift(ppm)
    A 7.516 B 7.313 C 7.132 D 4.1 E 3.651 F 3.078 C-H COSY

         Hz     ppm     Int.
    

        679.19   7.584    358
        677.13   7.561    423
        671.19   7.495    544
        669.13   7.472    665
        662.00   7.392     65
        655.88   7.324   1000
        653.88   7.302    839
        648.19   7.238     80
        641.81   7.167    712
        633.81   7.077    457
        366.00   4.087    152
        344.31   3.845     49
        343.38   3.835     49
        338.06   3.775    324
        336.75   3.761    358
        328.44   3.668    912
        320.25   3.576    739
        309.94   3.461     47
        309.13   3.452     48
        309.00   3.451     48
        308.50   3.445     49
        283.69   3.168    692
        275.31   3.075    870
        266.75   2.979    390
        257.38   2.874     37
        254.94   2.847     32
        254.63   2.844     32
    

in CDCl3



KBr disc



nujol mull