
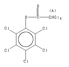
二氯乙酸五氯苯酯[用于肽合成]
产品名称
二氯乙酸五氯苯酯[用于肽合成]
CAS号19745-69-8
分子式C8HCl7O2
分子量377.26
InChIInChI=1S/C8HCl7O2/c9-1-2(10)4(12)6(5(13)3(1)11)17-8(16)7(14)15/h7H
InChIKeyKDDDLTRKFSGKHG-UHFFFAOYSA-N
SmilesC(OC1=C(Cl)C(Cl)=C(Cl)C(Cl)=C1Cl)(=O)C(Cl)Cl
展开
收起
-
Parameter ppm Hz
D(A) 6.255
Spectral Code: 1H NMR : parameter in CDCl3
-
ppm Int. Assign.
160.25 670 1
142.72 265 2
132.68 330 3
132.38 620 4 *
127.39 650 5 *
63.11 1000 6
Spectral Code: 13C NMR : in CDCl3
-
Spectral Code: IR : KBr disc
二氯乙酸五氯苯酯[用于肽合成](19745-69-8)核磁图(13CNMR) 相关产品图谱