图谱信息 供应商 相关产品
网站主页CAS数据库列表 19980-43-9更多图谱1-(三甲基硅氧基)环戊烯(19980-43-9)核磁图(13CNMR)

1-(三甲基硅氧基)环戊烯

产品名称 1-(三甲基硅氧基)环戊烯

CAS号19980-43-9

分子式C8H16OSi

分子量156.3

展开


  • Mass

    MS-IW-9206          
    1-(trimethylsilyloxy)cyclopentene
    C8H16OSi            (Mass of molecular ion:    156)
    

       Source Temperature: 230 °C
       Sample Temperature: 150 °C
       Reservoir, 75 eV
    

          27.0       3.2
          28.0       3.0
          29.0       2.3
          31.0       1.6
          39.0       4.9
          41.0       5.0
          42.0       1.6
          43.0       7.8
          44.0       3.6
          45.0      17.3
          46.0       1.1
          47.0       4.3
          53.0       1.7
          55.0       7.0
          56.0       2.0
          57.0       3.8
          58.0       1.7
          59.0      10.7
          60.0       1.2
          61.0       3.1
          62.0       1.0
          63.0       2.6
          65.0       1.5
          66.0       2.1
          67.0       3.7
          70.0       4.6
          70.5       3.2
          71.0       1.7
          72.0       2.7
          73.0      84.6
          74.0       7.5
          75.0     100.0
          76.0       7.2
          77.0       4.1
          84.0       1.5
          85.0       3.3
          99.0       5.4
         101.0       1.4
         111.0       1.8
         113.0       1.7
         115.0       1.6
         125.0       1.2
         127.0       3.8
         141.0      20.3
         142.0       2.7
         143.0       1.0
         147.0       9.0
         148.0       1.4
         155.0      41.1
         156.0      35.5
         157.0       6.2
         158.0       1.5
    

400 MHz in CDCl3


  • 1H NMR 399.65 MHz
    C8 H16 O Si 0.05 ml : 0.5 ml CDCl3
    1-(trimethylsilyloxy)cyclopentene
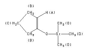
    ChemicalStructure
        Assign.     Shift(ppm)
    A 4.615 B 2.26 C 1.851 D 0.204

         Hz     ppm     Int.
    

       1846.68   4.621     48
       1844.85   4.617     67
       1843.02   4.612     44
        912.11   2.283     45
        910.16   2.278     79
        908.69   2.274     64
        906.86   2.270     59
        906.25   2.268     53
        905.15   2.265     63
        904.54   2.264     62
        903.81   2.262     65
        903.20   2.260     71
        902.34   2.258     92
        901.00   2.255     80
        899.41   2.251     62
        897.71   2.247     60
        896.48   2.244     47
        896.00   2.242     47
        894.65   2.239     41
        894.04   2.238     40
        892.82   2.235     44
        748.29   1.873     31
        747.44   1.871     58
        746.58   1.869     49
        740.36   1.853     57
        739.38   1.851     63
        733.40   1.836     32
        732.79   1.834     36
        732.18   1.833     47
         84.84   0.213    192
         81.54   0.205   1000
         78.13   0.196    125
    

in CDCl3



liquid film