图谱信息 供应商 相关产品
网站主页CAS数据库列表 2004-06-0更多图谱6-氯嘌呤核糖核苷(2004-06-0)红外图谱(IR1)

6-氯嘌呤核糖核苷

产品名称 6-氯嘌呤核糖核苷

CAS号2004-06-0

分子式C10H11ClN4O4

分子量286.67

展开


  • Mass

    MS2014-05025CW      
    6-chloropurine riboside
    C10H11ClN4O4        (Mass of molecular ion:    286)
    

       Source Temperature: 255 °C
       Sample Temperature:  65 °C
       Direct, 70 eV
    

          15.0       1.5
          17.0       1.6
          18.0       7.1
          19.0       1.8
          27.0       4.2
          28.0      25.9
          29.0       5.0
          31.0       4.5
          35.0       1.5
          36.0       5.9
          38.0      16.0
          39.0       9.6
          40.0       3.4
          41.0       1.9
          42.0       1.5
          43.0       4.0
          44.0       1.3
          45.0       2.7
          47.0       4.5
          48.0       1.3
          49.0       1.4
          50.0       1.2
          51.0       3.5
          52.0       1.5
          53.0       7.6
          54.0       1.0
          55.0       2.6
          56.0       1.0
          57.0       6.9
          60.0       2.0
          61.0       1.7
          64.0       6.3
          65.0      19.2
          66.0       5.0
          67.0       5.5
          68.0       1.2
          69.0       1.5
          71.0       1.7
          73.0       6.6
          74.0       4.5
          75.0       2.6
          76.0       1.7
          77.0       2.8
          85.0       1.8
          86.0       6.8
          87.0       1.4
          88.0       2.1
          91.0       2.5
          92.0      25.0
          93.0       1.8
          99.0       3.7
         100.0       8.3
         101.0       2.4
         102.0       2.8
         119.0      80.9
         120.0       5.8
         126.0       2.6
         127.0       1.3
         128.0       1.1
         133.0       1.1
         154.0     100.0
         155.0      17.9
         156.0      32.3
         157.0       5.7
         167.0       1.5
         183.0       8.6
         185.0       2.8
         197.0       2.6
    

400 MHz in DMSO-d6


  • 1H NMR 399.65 MHz
    C10 H11 Cl N4 O4 0.023 g : 0.5 ml DMSO-d6
    6-chloropurine riboside
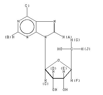
    ChemicalStructure
        Assign.     Shift(ppm)
    A 8.971 B 8.834 C 6.064 D 4.607 E 4.215 F 4.009 G *1 3.722 J *1 3.609 ASSIGNED BY C-H COSY

         Hz     ppm     Int.
    

       3585.33   8.972    772
       3530.76   8.835   1000
       2426.27   6.071    295
       2421.02   6.058    299
       1846.56   4.621    134
       1841.55   4.608    242
       1836.43   4.596    139
       1689.09   4.227    134
       1684.69   4.216    198
       1680.18   4.205    138
       1608.15   4.024     64
       1604.25   4.015    190
       1600.22   4.005    188
       1596.31   3.995     64
       1496.95   3.746    102
       1492.92   3.736    100
       1484.86   3.716    161
       1480.96   3.706    145
       1449.46   3.627    149
       1445.43   3.617    152
       1437.38   3.597    109
       1433.47   3.587     98
    

in DMSO-d6



KBr disc



nujol mull