图谱信息 供应商 相关产品
网站主页CAS数据库列表 2004-07-1更多图谱6-氯鸟嘌呤核苷(2004-07-1)核磁图(1HNMR)

6-氯鸟嘌呤核苷

产品名称 6-氯鸟嘌呤核苷

CAS号2004-07-1

分子式C10H12ClN5O4

分子量301.69

展开


  • Mass

    MS2014-05013CW      
    (-)-2-amino-6-chloropurine riboside
    C10H12ClN5O4        (Mass of molecular ion:    301)
    

       Source Temperature: 250 °C
       Sample Temperature:  25 °C
       Direct, 70 eV
    

          18.0       2.2
          27.0       1.1
          28.0       4.1
          29.0       1.8
          31.0       2.6
          41.0       2.1
          42.0       1.4
          43.0       5.9
          44.0       1.0
          45.0       2.9
          53.0       2.9
          54.0       2.0
          55.0       2.5
          57.0       5.9
          60.0       1.4
          61.0       2.8
          65.0       1.4
          67.0       1.3
          68.0       1.6
          69.0       2.5
          71.0       2.7
          73.0       5.7
          80.0       1.8
          85.0       2.0
          86.0       1.4
          88.0       1.2
          92.0       3.9
          97.0       1.0
         106.0       1.0
         107.0       6.0
         108.0       1.1
         114.0       1.0
         115.0       1.5
         119.0       1.2
         121.0       1.1
         133.0       4.2
         134.0      42.9
         135.0       4.1
         141.0       1.1
         146.0       3.1
         148.0       2.6
         165.0       1.6
         169.0     100.0
         170.0      20.3
         171.0      33.0
         172.0       6.5
         176.0       1.7
         182.0       3.1
         183.0       2.9
         184.0       1.3
         185.0       1.0
         198.0       9.4
         199.0       1.0
         200.0       3.1
         211.0       1.3
         212.0      12.3
         213.0       1.7
         214.0       4.0
         271.0       1.3
         301.0      10.7
         302.0       1.6
         303.0       3.7
    

400 MHz in DMSO-d6


  • 1H NMR 399.65 MHz
    C10 H12 Cl N5 O4 0.038 g : 0.5 ml DMSO-d6
    (-)-2-amino-6-chloropurine riboside
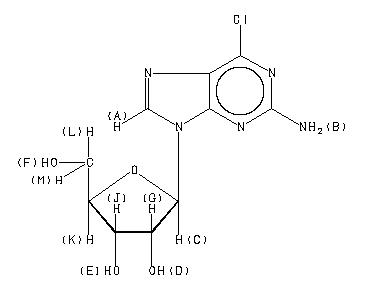
    ChemicalStructure
        Assign.     Shift(ppm)
    A 8.404 B 6.99 C 5.840 D 5.51 E 5.21 F 5.09 G 4.512 J 4.157 K 3.944 L *1 3.671 M *1 3.582 ASSIGNED BY H-H COSY.

         Hz     ppm     Int.
    

       3358.76   8.405   1000
       2793.82   6.991    480
       2337.28   5.849    380
       2331.42   5.834    388
       2203.74   5.515    228
       2197.88   5.500    230
       2085.69   5.219    230
       2080.93   5.207    228
       2037.96   5.100    118
       2032.47   5.086    251
       2027.10   5.073    118
       1811.52   4.533     74
       1805.91   4.519    173
       1800.66   4.506    174
       1795.04   4.492     74
       1668.09   4.174     76
       1663.57   4.163    163
       1659.67   4.153    165
       1655.03   4.142     78
       1582.03   3.959     84
       1578.13   3.949    236
       1574.34   3.940    232
       1570.56   3.930     87
       1479.25   3.702     51
       1474.61   3.690     76
       1474.37   3.690     76
       1469.97   3.679     68
       1467.53   3.673    102
       1462.52   3.660    131
       1458.25   3.649     83
       1441.16   3.607     86
       1435.91   3.593    120
       1431.52   3.582     98
       1429.32   3.577     75
       1424.93   3.566     69
       1423.71   3.563     73
       1419.56   3.553     56
    

in DMSO-d6



KBr disc



nujol mull