图谱信息 供应商 相关产品
网站主页CAS数据库列表 203-64-5更多图谱4H-环戊[DEF]菲(203-64-5)核磁图(1HNMR)

4H-环戊[DEF]菲

产品名称 4H-环戊[DEF]菲

CAS号203-64-5

分子式C15H10

分子量190.24

展开


  • Mass

    MS-NW-8725          
    4H-cyclopenta(def)phenanthrene
    C15H10              (Mass of molecular ion:    190)
    

       Source Temperature: 270 °C
       Sample Temperature: 150 °C
       Reservoir, 75 eV
    

          63.0       2.3
          74.0       1.0
          81.0       1.8
          81.5       5.1
          82.0       1.0
          86.0       1.1
          87.0       1.5
          93.0       1.5
          93.5      10.9
          94.0      10.3
          94.5      27.5
          95.0      14.4
          95.5       2.0
         161.0       1.2
         162.0       1.4
         163.0       4.3
         185.0       1.0
         186.0       2.6
         187.0      16.5
         188.0      12.8
         189.0      83.1
         190.0     100.0
         191.0      15.8
         192.0       1.9
    

400 MHz in CDCl3


  • 1H NMR 399.65 MHz
    C15 H10 16.3 mg : 0.5 ml CDCl3
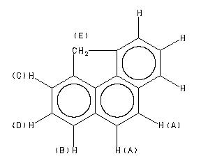
    4H-cyclopenta(def)phenanthrene
    ChemicalStructure
        Assign.     Shift(ppm)
    A 7.821 B 7.82 C 7.681 D 7.631 E 4.328

         Hz     ppm     Int.
    

       3125.73   7.822   1000
       3118.90   7.805    218
       3118.16   7.803    213
       3074.95   7.695    111
       3074.22   7.693    120
       3073.24   7.690     56
       3067.87   7.677    224
       3067.14   7.675    218
       3055.54   7.646    305
       3048.46   7.628    208
       3047.85   7.627    255
       3040.77   7.609    137
       1729.74   4.329    280
    

in CDCl3



KBr disc