图谱信息 供应商 相关产品
网站主页CAS数据库列表 2039-77-2更多图谱9-乙酰菲(2039-77-2)红外图谱(IR1)

9-乙酰菲

产品名称 9-乙酰菲

CAS号2039-77-2

分子式C16H12O

分子量220.27


  • Mass

    MS-NW-7969          
    9-acetylphenanthrene
    C16H12O             (Mass of molecular ion:    220)
    

       Source Temperature: 150 °C
       Sample Temperature: 110 °C
       Direct, 75 eV
    

          18.0       2.9
          43.0       5.5
          51.0       1.4
          62.0       1.2
          63.0       1.8
          74.0       2.1
          75.0       4.9
          76.0       1.3
          81.5       1.1
          82.5       1.7
          87.0       2.9
          87.5       1.2
          88.0      16.9
          88.5       7.9
          89.0       1.6
          94.0       1.1
          94.5       2.5
          95.0       1.1
          98.0       1.2
          99.0       1.1
         100.0       1.1
         101.0       1.6
         102.5       4.6
         109.0       1.2
         110.0       6.7
         110.5       1.1
         126.0       1.3
         149.0       1.2
         150.0       5.9
         151.0      10.1
         152.0       2.0
         165.0       1.2
         174.0       3.0
         175.0       4.1
         176.0      29.8
         177.0      61.1
         178.0      10.4
         179.0       1.4
         189.0       2.9
         190.0       1.1
         191.0       1.9
         205.0     100.0
         206.0      16.8
         207.0       1.6
         219.0       1.6
         220.0      62.0
         221.0      11.1
         222.0       1.2
    

400 MHz in CDCl3


  • 1H NMR 399.65 MHz
    C16 H12 O 0.044 g : 0.5 ml CDCl3
    9-acetylphenanthrene
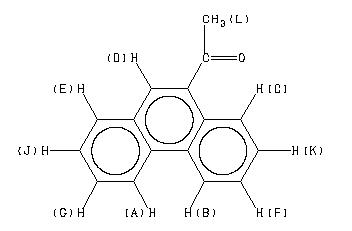
    ChemicalStructure
        Assign.     Shift(ppm)
    A *1 8.709 B *1 8.646 C 8.599 D 8.127 E 7.877 F 7.689 G *2 7.648 J *2 7.630 K 7.588 L 2.772

         Hz     ppm     Int.
    

       3486.33   8.724     60
       3484.50   8.719     41
       3481.20   8.711     60
       3479.37   8.707     42
       3476.81   8.700     62
       3476.56   8.700     62
       3460.57   8.660     58
       3458.13   8.653     33
       3457.76   8.652     33
       3456.05   8.648     52
       3452.64   8.640     36
       3450.93   8.635     63
       3440.67   8.610     71
       3432.74   8.590     72
       3432.37   8.589     72
       3247.92   8.127    189
       3153.69   7.892     61
       3152.95   7.890     59
       3152.34   7.888     63
       3145.87   7.872     72
       3145.02   7.870     68
       3144.53   7.869     73
       3082.03   7.712     42
       3080.69   7.709     43
       3075.07   7.695     63
       3073.61   7.691     90
       3072.27   7.688     46
       3066.65   7.674     61
       3065.31   7.670     61
       3058.47   7.653     95
       3057.37   7.651    103
       3056.15   7.648     81
       3053.34   7.641    115
       3052.86   7.639    108
       3049.93   7.632     86
       3048.71   7.629     96
       3047.61   7.626     96
       3042.97   7.615     30
       3039.67   7.606     65
       3038.57   7.604     65
       3032.59   7.589     56
       3031.74   7.586     87
       3030.64   7.584     63
       3024.78   7.569     42
       3023.68   7.566     40
       1107.79   2.772   1000
    

in CDCl3



KBr disc



nujol mull