图谱信息 供应商 相关产品
网站主页CAS数据库列表 2039-87-4更多图谱2-氯苯乙烯(2039-87-4)Raman光谱

2-氯苯乙烯

产品名称 2-氯苯乙烯

CAS号2039-87-4

分子式C8H7Cl

分子量138.59

展开


  • Mass

    MS-NW-9257          
    o-chlorostyrene
    C8H7Cl              (Mass of molecular ion:    138)
    

       Source Temperature: 240 °C
       Sample Temperature: 160 °C
       Reservoir, 75 eV
    

          27.0       1.2
          38.0       1.5
          39.0       2.4
          49.0       1.1
          50.0       8.9
          51.0      19.5
          52.0       2.2
          61.0       1.1
          62.0       2.0
          63.0       4.1
          68.0       1.1
          69.0       3.4
          70.0       1.0
          73.0       1.7
          74.0       5.6
          75.0      10.9
          76.0       6.8
          77.0      24.3
          78.0       2.6
          98.0       1.1
         101.0       9.8
         102.0      17.3
         103.0      93.0
         104.0       8.2
         111.0       1.0
         112.0       3.1
         114.0       1.0
         136.0       1.1
         137.0       3.8
         138.0     100.0
         139.0      11.0
         140.0      33.1
         141.0       5.0
    

400 MHz in CDCl3


  • 1H NMR 399.65 MHz
    C8 H7 Cl 0.05 ml : 0.5 ml CDCl3
    o-chlorostyrene
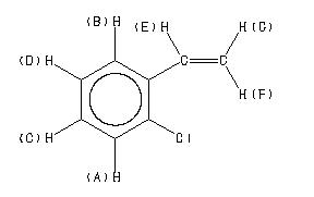
    ChemicalStructure
        Assign.     Shift(ppm)
    A 7.524 B 7.320 C 7.18 D 7.15 E 7.098 F 5.709 G 5.350

         Hz     ppm     Int.
    

       3012.70   7.539    633
       3010.86   7.534    715
       3005.00   7.520    678
       3003.17   7.515    769
       2930.18   7.332    690
       2928.71   7.329    717
       2928.10   7.327    597
       2922.36   7.313    930
       2920.90   7.309    965
       2880.98   7.209    262
       2880.37   7.208    269
       2879.52   7.206    334
       2878.91   7.204    295
       2876.83   7.199    107
       2873.66   7.191    701
       2873.05   7.189    709
       2872.19   7.187    717
       2866.21   7.172    647
       2865.72   7.171    612
       2864.50   7.168    630
       2863.89   7.166    640
       2862.92   7.164    778
       2860.84   7.159    779
       2855.22   7.145    701
       2853.39   7.140    780
       2851.20   7.135    670
       2847.78   7.126    304
       2845.95   7.122    278
       2840.09   7.107    598
       2833.62   7.091    601
       2822.63   7.063    611
       2290.89   5.733    947
       2289.79   5.730   1000
       2273.32   5.689    895
       2272.34   5.686    932
       2144.29   5.366    956
       2143.31   5.363   1000
       2133.30   5.338    946
       2132.20   5.336    988
    

in CDCl3



liquid film