
2,2'-二羟基偶氮苯
产品名称
2,2'-二羟基偶氮苯
CAS号2050-14-8
分子式C12H10N2O2
分子量214.22
InChIInChI=1S/C12H10N2O2/c15-11-7-3-1-5-9(11)13-14-10-6-2-4-8-12(10)16/h1-8,15-16H
InChIKeyJFEVWPNAOCPRHQ-UHFFFAOYSA-N
SmilesN(C1=CC=CC=C1O)=NC1=CC=CC=C1O
展开
收起
-
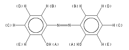
Assign. Shift(ppm)
A 12.23
B 7.69
C 7.32
D 7.04
E 7.03
Spectral Code: 1H NMR : 90 MHz in CDCl3
-
Spectral Code: IR : KBr disc
2,2'-二羟基偶氮苯(2050-14-8)红外图谱(IR1) 相关产品图谱