
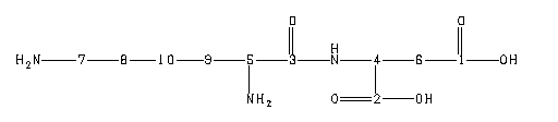
H-LYS-ASP-OH
产品名称
H-LYS-ASP-OH
CAS号20556-18-7
分子式C10H19N3O5
分子量261.27
InChIInChI=1S/C10H19N3O5/c11-4-2-1-3-6(12)9(16)13-7(10(17)18)5-8(14)15/h6-7H,1-5,11-12H2,(H,13,16)(H,14,15)(H,17,18)/t6-,7-/m0/s1
InChIKeyCIOWSLJGLSUOME-BQBZGAKWSA-N
SmilesC(O)(=O)[C@H](CC(O)=O)NC(=O)[C@H](CCCCN)N
展开
收起
-
ppm Int. Assign.
179.54 492 1 *
178.48 500 2 *
169.71 560 3
54.40 880 4 #
53.94 840 5 #
40.26 756 6 *1
39.91 918 7 *1
31.00 907 8
27.04 1000 9
21.79 978 10
Spectral Code: 13C NMR : in D2O
H-LYS-ASP-OH(20556-18-7)核磁图(13CNMR) 相关产品图谱