图谱信息 供应商 相关产品
网站主页CAS数据库列表 20595-30-6更多图谱反-3-氟苯丙烯酸(20595-30-6)核磁图(1HNMR)

反-3-氟苯丙烯酸

产品名称 反-3-氟苯丙烯酸

CAS号20595-30-6

分子式C9H7FO2

分子量166.15

展开


  • Mass

    MS-NW-9396          
    trans-3-fluorocinnamic acid
    C9H7FO2             (Mass of molecular ion:    166)
    

       Source Temperature: 160 °C
       Sample Temperature: 120 °C
       Direct, 75 eV
    

          18.0       2.5
          27.0       1.0
          28.0       1.8
          31.0       1.0
          38.0       1.0
          39.0       2.6
          45.0       3.2
          50.0       6.7
          50.5       2.6
          51.0       7.6
          55.0       1.8
          57.0       2.9
          59.0       1.2
          60.0       6.9
          60.5       4.4
          61.0       1.6
          62.0       2.0
          63.0       3.7
          68.0       2.2
          69.0       5.3
          70.0       4.0
          71.0       1.9
          73.0       2.1
          74.0       6.3
          74.5       2.4
          75.0      20.9
          76.0       2.2
          77.0       1.1
          81.0       2.1
          83.0       4.8
          92.0       1.0
          93.0       1.7
          94.0       5.5
          95.0      10.4
          96.0       5.1
          97.0       3.4
          98.0       1.5
          99.0       2.3
         100.0       2.1
         101.0      46.3
         102.0       4.7
         107.0       1.0
         109.0      21.0
         110.0       3.6
         112.0       1.5
         118.0       3.4
         119.0       1.4
         120.0      21.6
         121.0      38.8
         122.0       4.0
         123.0       2.1
         124.0       1.1
         125.0       2.6
         137.0       4.7
         138.0       9.9
         147.0       5.7
         148.0       5.0
         149.0      35.1
         150.0       3.5
         165.0      77.8
         166.0     100.0
         167.0      10.2
    

400 MHz in DMSO-d6


  • 1H NMR 399.65 MHz
    C9 H7 F O2 0.031 g : 0.5 ml DMSO-d6
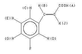
    trans-3-fluorocinnamic acid
    ChemicalStructure
        Assign.     Shift(ppm)
    A 12.55 B 7.62 C 7.62 D 7.544 E 7.471 G 7.258 J 6.640 J(B,J)=16.0HZ

         Hz     ppm     Int.
    

       5016.02  12.552    190
       3052.90   7.639    881
       3049.49   7.631    349
       3040.51   7.608    373
       3036.88   7.599    751
       3019.78   7.557    387
       3012.09   7.537    630
       2996.71   7.499    264
       2990.72   7.484    287
       2988.59   7.479    437
       2982.60   7.464    416
       2980.89   7.459    283
       2977.05   7.450     36
       2974.70   7.444    203
       2910.38   7.283    217
       2908.67   7.279    194
       2907.81   7.276    205
       2901.62   7.261    357
       2899.69   7.256    347
       2893.28   7.240    187
       2891.57   7.236    163
       2890.93   7.234    167
       2661.44   6.660   1000
       2645.41   6.620    918
    

in DMSO-d6



KBr disc



nujol mull