-
MS-NW-0126 fluoranthene C16H10 (Mass of molecular ion: 202)
Source Temperature: 120 °C Sample Temperature: 0 °C Direct, 75 eV
75.0 1.0 87.0 1.5 88.0 3.3 99.0 1.0 100.0 5.2 100.5 1.7 101.0 9.2 101.5 1.6 150.0 1.4 174.0 1.8 175.0 1.6 176.0 1.6 198.0 1.5 199.0 2.5 200.0 15.4 201.0 12.1 202.0 100.0 203.0 17.4 204.0 1.6
400 MHz in CDCl3
-
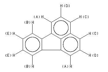
1H NMR 399.65 MHz C16 H10 14.0 mg : 0.5 ml CDCl3 fluoranthene 
Assign. Shift(ppm)
A 7.931 B 7.905 C 7.832 D 7.626 E 7.376
Hz ppm Int.3173.46 7.941 804 3172.97 7.940 755 3168.70 7.929 66 3166.38 7.923 885 3165.89 7.922 861 3163.57 7.916 946 3160.52 7.909 782 3158.08 7.903 700 3155.03 7.895 1000 3151.25 7.886 93 3149.90 7.882 70 3134.89 7.845 793 3134.40 7.843 740 3126.59 7.824 944 3126.10 7.823 859 3054.81 7.644 768 3047.85 7.627 792 3046.51 7.623 729 3039.67 7.606 560 2957.15 7.400 59 2955.93 7.397 79 2952.15 7.387 960 2949.10 7.380 682 2946.66 7.374 711 2943.48 7.366 879 2939.82 7.356 73 2938.48 7.353 49
更多供应商






