-
MS-NW-9394 5-chloro-2(3H)-benzothiazolone C7H4ClNOS (Mass of molecular ion: 185)
Source Temperature: 200 °C Sample Temperature: 120 °C Direct, 75 eV
18.0 4.9 28.0 1.8 36.0 1.0 37.0 2.3 38.0 2.7 39.0 1.2 44.0 1.3 45.0 8.8 47.0 1.7 49.0 1.2 50.0 3.3 51.0 3.3 52.0 2.4 57.0 1.3 60.0 1.0 60.5 3.9 61.0 6.1 62.0 3.9 63.0 6.1 64.0 1.2 69.0 8.6 70.0 2.5 71.0 1.4 73.0 1.7 74.0 1.0 75.0 1.3 76.0 2.8 78.0 2.1 78.5 5.0 79.0 1.3 79.5 1.8 81.0 1.4 82.0 1.1 92.5 2.4 93.0 3.8 94.0 2.5 95.0 19.6 96.0 1.6 97.0 1.5 106.0 1.5 107.0 2.3 112.0 1.0 120.0 1.3 121.0 4.3 122.0 32.5 123.0 2.7 124.0 2.4 129.0 1.0 130.0 30.8 131.0 2.4 132.0 11.3 142.0 1.0 149.0 1.3 150.0 2.3 156.0 1.6 157.0 45.2 158.0 4.1 159.0 16.7 160.0 1.3 185.0 100.0 186.0 9.4 187.0 36.8 188.0 3.3 189.0 1.6
400 MHz in DMSO-d6
-
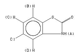
1H NMR 399.65 MHz C7 H4 Cl N O S 0.031 g : 0.5 ml DMSO-d6 5-chloro-2(3H)-benzothiazolone 
Assign. Shift(ppm)
A 12.07 B 7.606 C 7.188 D 7.137
Hz ppm Int.4824.24 12.072 141 3053.20 7.640 22 3044.23 7.618 809 3039.83 7.607 93 3035.80 7.597 884 3028.11 7.577 24 2886.89 7.224 23 2878.10 7.202 561 2875.90 7.197 630 2869.67 7.181 500 2867.65 7.176 583 2863.26 7.165 69 2861.79 7.161 60 2861.06 7.159 59 2853.37 7.140 1000 2851.35 7.135 878 2841.10 7.109 25 2840.55 7.108 24 2838.71 7.103 22
更多供应商
5-氯-2-苯骈噻唑酮(20600-44-6)红外图谱(IR2) 相关产品图谱
4-[(5-氯-2-氧代-2H-苯并噻唑-3-基)乙酰基]哌嗪-1-乙醇单盐酸盐(35941-71-0)红外图谱(IR1)
4-[(5-氯-2-氧代-2H-苯并噻唑-3-基)乙酰基]哌嗪-1-乙醇单盐酸盐(35941-71-0)红外图谱(IR2)
4-[(5-氯-2-氧代-2H-苯并噻唑-3-基)乙酰基]哌嗪-1-乙醇单盐酸盐(35941-71-0)核磁图(1HNMR)
4-[(5-氯-2-氧代-2H-苯并噻唑-3-基)乙酰基]哌嗪-1-乙醇单盐酸盐(35941-71-0)核磁图(13CNMR)
4-[(5-氯-2-氧代-2H-苯并噻唑-3-基)乙酰基]哌嗪-1-乙醇单盐酸盐(35941-71-0)质谱(MS)





