
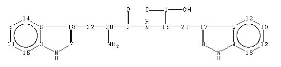
H-TRP-TRP-OH
产品名称
H-TRP-TRP-OH
CAS号20696-60-0
分子式C22H22N4O3
分子量390.44
InChIInChI=1S/C22H22N4O3/c23-17(9-13-11-24-18-7-3-1-5-15(13)18)21(27)26-20(22(28)29)10-14-12-25-19-8-4-2-6-16(14)19/h1-8,11-12,17,20,24-25H,9-10,23H2,(H,26,27)(H,28,29)/t17-,20-/m0/s1
InChIKeyNQIHMZLGCZNZBN-PXNSSMCTSA-N
SmilesC(O)(=O)[C@H](CC1C2=C(C=CC=C2)NC=1)NC(=O)[C@H](CC1C2=C(C=CC=C2)NC=1)N
展开
收起
-
ppm Int. Assign.
177.52 323 1
169.15 577 2
137.12 525 3 *
136.87 491 4 *
127.97 491 5 #
127.22 577 6 #
126.14 922 7
125.00 904 8
123.01 975 9 *1
122.62 984 10 *1
120.36 994 11 *1
120.02 921 12 *1
119.29 941 13 *1
118.87 864 14 *1
112.86 1000 15
112.64 976 16
110.72 680 17
107.05 638 18
56.58 632 19
54.14 911 20
28.07 932 21 #1
27.43 979 22 #1
Spectral Code: 13C NMR : in D2O
H-TRP-TRP-OH(20696-60-0)核磁图(13CNMR) 相关产品图谱