图谱信息 供应商 相关产品
网站主页CAS数据库列表 20699-85-8更多图谱5-氨基苯并噻吩-2-羧酸甲酯(20699-85-8)核磁图(1HNMR)

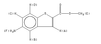
5-氨基苯并噻吩-2-羧酸甲酯

产品名称 5-氨基苯并噻吩-2-羧酸甲酯

CAS号20699-85-8

分子式C10H9NO2S

分子量207.25

展开



  •     Parameter     ppm  Hz
    D(A) 7.84 D(B) 7.08 D(C) 6.87 D(D) 7.59 J(A,B) 0.0 J(A,C) 0.0 J(A,D) 0.60 J(B,C) 2.4 J(B,D) 0.60 J(C,D) 8.8 D(E) 3.89 D(F) 3.61 CADDY,B. ET AL. AUST.J.CHEM. 21, 1853 (1968) J(A,B):NOT EQUAL TO 0.
    Spectral Code: 1H NMR : parameter in CDCl3