图谱信息 供应商 相关产品
网站主页CAS数据库列表 2071-20-7更多图谱双二苯基膦甲烷(2071-20-7)红外图谱(IR2)

双二苯基膦甲烷

产品名称 双二苯基膦甲烷

CAS号2071-20-7

分子式C25H22P2

分子量384.39

展开


  • Mass

    MS-IW-3863          
    bis(diphenylphosphino)methane
    C25H22P2            (Mass of molecular ion:    384)
    

       Source Temperature: 170 °C
       Sample Temperature: 160 °C
       Direct, 75 eV
    

          39.0       1.2
          51.0       3.6
          57.0       1.4
          65.0       2.2
          77.0      12.3
          78.0       3.2
          79.0       3.2
          91.0       8.8
          95.0       4.0
         107.0       6.5
         108.0       7.3
         109.0       1.3
         115.0       2.0
         120.0       1.3
         121.0      81.5
         122.0       6.4
         133.0       2.1
         152.0       3.6
         153.0       1.9
         157.0       1.2
         165.0       7.3
         166.0       3.5
         167.0       1.9
         170.0       1.3
         183.0      17.9
         184.0       3.8
         185.0       3.8
         186.0       1.6
         195.0       1.2
         196.0       2.1
         197.0       6.0
         198.0       1.1
         199.0      46.1
         200.0       7.2
         261.0       3.0
         262.0     100.0
         263.0      19.9
         264.0       1.9
         383.0       2.5
         384.0      55.8
         385.0      15.5
         386.0       2.0
    

400 MHz in CDCl3


  • 1H NMR 399.65 MHz
    C25 H22 P2 0.034 g : 0.5 ml CDCl3
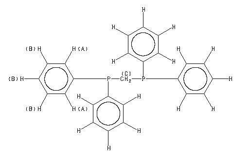
    bis(diphenylphosphino)methane
    ChemicalStructure
        Assign.     Shift(ppm)
    A 7.429 B 7.28 C 2.802 J(P-31,C)=1.5HZ

         Hz     ppm     Int.
    

       2978.39   7.453    142
       2974.61   7.444    353
       2973.14   7.440    288
       2970.83   7.434    468
       2968.99   7.429    422
       2967.77   7.426    468
       2965.09   7.420    421
       2961.30   7.410    218
       2957.40   7.400     47
       2922.00   7.312     30
       2913.45   7.291    908
       2910.16   7.282   1000
       2907.23   7.275    877
       2897.34   7.250     44
       2896.12   7.247     37
       2895.63   7.246     37
       1121.58   2.807    215
       1120.12   2.803    341
       1118.77   2.800    217
    

in CDCl3





KBr disc



nujol mull