-
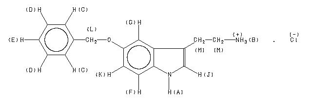
MS-IW-0014 2-(5-benzyloxy-3-indolyl)ethylamine hydrochloride C17H18N2O HCl (Mass of molecular ion: 266)
Source Temperature: 210 °C Sample Temperature: 170 °C Direct, 75 eV
18.0 4.4 28.0 3.4 30.0 16.9 35.0 1.9 36.0 23.2 38.0 7.8 39.0 3.6 41.0 1.2 51.0 2.3 52.0 1.2 63.0 3.1 64.0 1.2 65.0 11.6 77.0 2.4 78.0 1.1 80.0 1.0 89.0 5.2 90.0 6.1 91.0 52.6 92.0 6.8 102.0 1.3 103.0 1.7 104.0 1.2 108.0 1.9 115.0 1.0 116.0 1.8 117.0 14.0 118.0 7.0 119.0 1.3 120.0 1.1 128.0 1.6 129.0 1.7 130.0 5.8 131.0 1.4 132.0 2.6 133.0 1.3 145.0 28.9 146.0 93.9 147.0 17.7 148.0 4.1 156.0 1.9 157.0 6.3 158.0 6.8 159.0 2.1 160.0 1.2 174.0 2.7 175.0 13.5 176.0 4.4 191.0 1.5 193.0 1.7 208.0 2.7 218.0 2.2 219.0 1.4 220.0 1.8 221.0 2.4 234.0 2.0 235.0 1.4 236.0 67.3 237.0 100.0 238.0 16.9 239.0 1.6 266.0 44.7 267.0 9.0
400 MHz in DMSO-d6
-
1H NMR 399.65 MHz C17 H18 N2 O 0.034 g : 0.5 ml DMSO-d6 2-(5-benzyloxy-3-indolyl)ethylamine hydrochloride 
Assign. Shift(ppm)
A 10.9 B 8.26 C 7.50 D 7.394 E 7.321 F 7.278 G 7.262 J 7.206 K 6.823 L 5.119 M 3.03
Hz ppm Int.4365.95 10.925 212 4363.94 10.920 207 3301.21 8.261 391 3001.73 7.511 269 3000.45 7.508 369 2993.49 7.491 491 2963.27 7.415 187 2962.17 7.412 295 2960.52 7.408 107 2955.03 7.395 582 2953.74 7.391 287 2948.98 7.379 160 2947.52 7.376 321 2933.23 7.340 122 2931.95 7.337 218 2930.66 7.334 128 2926.82 7.324 87 2924.62 7.318 261 2922.24 7.312 70 2918.57 7.303 63 2917.29 7.300 98 2916.01 7.297 73 2913.63 7.291 420 2904.84 7.269 550 2903.56 7.266 393 2901.17 7.260 352 2881.39 7.210 353 2879.01 7.204 350 2732.29 6.837 244 2729.91 6.831 233 2723.50 6.815 220 2721.12 6.809 223 2045.97 5.120 987 1220.99 3.056 42 1210.73 3.030 1000 1200.84 3.005 59 1200.47 3.004 59 1200.11 3.003 59
更多供应商





