图谱信息 供应商 相关产品
网站主页CAS数据库列表 20797-48-2更多图谱4-氯-3-硝基肉桂酸(20797-48-2)质谱(MS)

4-氯-3-硝基肉桂酸

产品名称 4-氯-3-硝基肉桂酸

CAS号20797-48-2

分子式C9H6ClNO4

分子量227.6

展开


  • Mass

    MS-IW-1762          
    4-chloro-3-nitrocinnamic acid
    C9H6ClNO4           (Mass of molecular ion:    227)
    

       Source Temperature: 140 °C
       Sample Temperature: 100 °C
       Direct, 75 eV
    

          28.0       1.0
          30.0       3.4
          38.0       1.2
          39.0       2.5
          45.0       2.8
          49.0       1.0
          50.0       6.3
          51.0       8.3
          52.0       1.1
          53.0       1.1
          61.0       1.5
          62.0       2.7
          63.0       6.4
          64.0       1.0
          65.0       1.0
          68.0       1.1
          69.0       3.8
          73.0       2.7
          74.0       8.5
          75.0      15.3
          76.0       2.4
          77.0       6.4
          78.0       1.4
          84.0       1.3
          85.0       1.5
          86.0       1.4
          87.0       1.5
          89.0      15.0
          90.0       4.7
          97.0       1.3
          98.0       2.5
          99.0       9.8
         100.0       4.2
         101.0      14.0
         102.0       9.6
         110.0       1.3
         111.0       1.3
         113.0       2.3
         117.0       2.0
         118.0       6.9
         123.0       1.7
         125.0      13.5
         126.0       1.5
         127.0       4.7
         134.0       2.3
         135.0       8.0
         136.0      15.4
         137.0       4.4
         138.0       5.5
         139.0       1.1
         141.0       2.4
         145.0       1.5
         146.0       1.4
         151.0       1.5
         152.0       5.4
         153.0       1.9
         154.0       2.0
         163.0       5.5
         164.0       3.2
         165.0       2.1
         166.0       4.6
         168.0       1.3
         169.0       1.0
         180.0      29.9
         181.0      10.1
         182.0      12.1
         183.0       3.8
         184.0       1.0
         192.0       1.4
         208.0       1.2
         209.0       1.2
         210.0      29.8
         211.0       4.1
         212.0      10.2
         213.0       1.3
         226.0       5.8
         227.0     100.0
         228.0      12.3
         229.0      33.5
         230.0       3.5
    

400 MHz in DMSO-d6


  • 1H NMR 399.65 MHz
    C9 H6 Cl N O4 0.038 g : 0.5 ml DMSO-d6
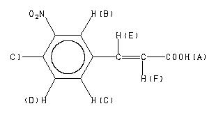
    trans-4-chloro-3-nitrocinnamic acid
    ChemicalStructure
        Assign.     Shift(ppm)
    A 12.7 B 8.438 C 8.043 D 7.812 E 7.656 F 6.746 J(E,F)=16.2HZ

         Hz     ppm     Int.
    

       5069.44  12.685     28
       3373.64   8.442    751
       3371.51   8.437    769
       3220.22   8.058    351
       3218.30   8.053    344
       3215.09   8.045     34
       3211.46   8.036    423
       3209.53   8.031    416
       3129.83   7.832     28
       3125.98   7.822    934
       3121.92   7.812     42
       3117.65   7.801    794
       3113.59   7.791     28
       3068.29   7.678    613
       3052.26   7.638    673
       2704.17   6.767   1000
       2687.93   6.726    928
    

in DMSO-d6



KBr disc



nujol mull