图谱信息 供应商 相关产品
网站主页CAS数据库列表 20829-97-4更多图谱5-硝基-1H-苯并[D][1,3]恶嗪-2,4-二酮(20829-97-4)红外图谱(IR1)

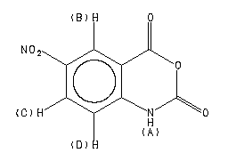
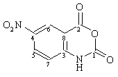
5-硝基-1H-苯并[D][1,3]恶嗪-2,4-二酮

产品名称 5-硝基-1H-苯并[D][1,3]恶嗪-2,4-二酮

CAS号20829-97-4

分子式C8H4N2O5

分子量208.13

展开



  •     Assign.     Shift(ppm)
    A 12.37 B 8.564 C 8.519 D 7.303
    Spectral Code: 1H NMR : 400 MHz in DMSO-d6



  •        ppm   Int.  Assign.
    158.55 396 1 146.43 830 2 * 145.99 1000 3 * 142.39 660 4 131.18 528 5 124.50 547 6 116.61 735 7 111.04 792 8
    Spectral Code: 13C NMR : DMSO-d6


  • Spectral Code: IR : KBr disc