-
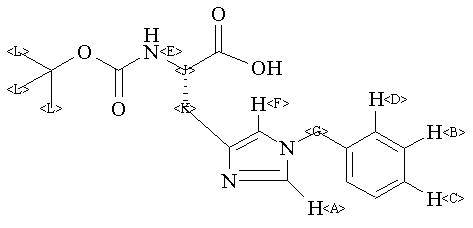
MS-NW-6318 tau-benzyl-N(alpha)-tert-butoxycarbonyl-L-histidine C18H23N3O4 (Mass of molecular ion: 345)
Source Temperature: 160 °C Sample Temperature: 150 °C Direct, 75 eV
15.0 1.7 18.0 1.0 26.0 1.4 27.0 3.9 28.0 6.4 29.0 6.2 31.0 4.0 38.0 1.7 39.0 10.7 40.0 1.8 41.0 14.5 42.0 1.4 43.0 4.1 44.0 1.7 50.0 1.4 51.0 2.8 52.0 1.9 53.0 2.1 54.0 2.5 55.0 1.4 56.0 1.7 57.0 18.0 58.0 1.2 59.0 13.2 63.0 2.7 64.0 1.0 65.0 14.0 66.0 1.4 77.0 1.1 81.0 20.6 82.0 2.4 89.0 3.5 90.0 2.2 91.0 100.0 92.0 8.1 108.0 2.4 109.0 1.6 115.0 1.2 169.0 1.0 171.0 31.7 172.0 14.1 173.0 1.8 184.0 13.6 185.0 3.4 199.0 3.7 200.0 20.1 201.0 3.7 228.0 3.5 229.0 1.8 244.0 14.7 245.0 7.3 246.0 1.2 271.0 1.0 272.0 6.3 273.0 1.1 289.0 5.5 290.0 1.2 300.0 1.7 301.0 3.6 345.0 6.1 346.0 1.4
400 MHz in DMSO-d6
-
1H NMR 399.65 MHz C18 H23 N3 O4 0.040 g : 0.5 ml DMSO-d6 tau-benzyl-N(alpha)-tert-butoxycarbonyl-L-histidine 
Assign. Shift(ppm)
A 7.703 B 7.33 C 7.30 D 7.225 E 6.97 F 6.906 G 5.132 J 4.148 K 2.82 L 1.343
Hz ppm Int.3078.74 7.704 128 3078.13 7.703 127 2942.14 7.362 43 2940.43 7.358 30 2935.30 7.345 126 2927.98 7.327 125 2920.78 7.309 72 2919.56 7.306 54 2916.14 7.297 31 2913.82 7.291 68 2890.50 7.233 120 2883.67 7.216 95 2789.79 6.981 50 2781.74 6.961 52 2760.01 6.907 97 2051.27 5.133 229 1661.62 4.158 34 1656.62 4.146 32 1131.35 2.831 49 1125.98 2.818 71 1125.73 2.817 71 1117.31 2.796 45 536.87 1.344 1000 528.44 1.323 80 528.08 1.322 80 524.41 1.313 105 523.80 1.311 106
更多供应商





