
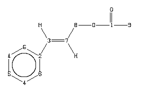
CINNAMYL ACETATE
产品名称
CINNAMYL ACETATE
CAS号21040-45-9
分子式C11H12O2
分子量176.21
InChIInChI=1S/C11H12O2/c1-10(12)13-9-5-8-11-6-3-2-4-7-11/h2-8H,9H2,1H3/b8-5+
InChIKeyWJSDHUCWMSHDCR-VMPITWQZSA-N
SmilesC(OC(=O)C)/C=C/C1=CC=CC=C1
展开
收起
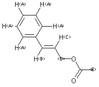
-
Assign. Shift(ppm)
A 7.53 to 7.09
B 6.62
C 6.29
D 4.72
E 2.081
Spectral Code: 1H NMR : 90 MHz in CDCl3
-
ppm Int. Assign.
170.58 177 1
136.25 261 2
134.10 438 3
128.59 1000 4
128.03 355 5
126.61 867 6
123.25 369 7
64.96 414 8
20.86 266 9
Spectral Code: 13C NMR : in CDCl3
-
Spectral Code: IR : liquid film
-
Spectral Code: Raman : 4880 A,200 M,liquid
CINNAMYL ACETATE(21040-45-9)红外图谱(IR1) 相关产品图谱