-
MS-NW-5818 trans-(3-chloro-1-propenyl)benzene C9H9Cl (Mass of molecular ion: 152)
Source Temperature: 260 °C Sample Temperature: 190 °C Reservoir, 75 eV
27.0 1.1 36.0 1.6 38.0 1.0 39.0 6.4 50.0 2.6 51.0 4.9 52.0 1.1 57.0 1.8 57.5 5.1 58.0 4.2 62.0 1.8 63.0 4.4 65.0 3.3 74.0 1.2 75.0 1.2 76.0 1.0 77.0 2.1 78.0 1.1 89.0 3.5 91.0 14.3 92.0 1.2 102.0 1.7 115.0 33.2 116.0 13.8 117.0 100.0 118.0 10.0 152.0 19.9 153.0 2.1 154.0 6.5
90 MHz in CDCl3
-
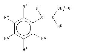
1H NMR 89.56 MHz C9 H9 Cl 0.04 ml : 0.5 ml CDCl3 trans-(3-chloro-1-propenyl)benzene 
Assign. Shift(ppm)
A 7.54 to 7.08 B 6.600 C 6.302 D 4.202 J(B,C)=15.6HZ. J(C,D)=6.6HZ.
Hz ppm Int.670.09 7.483 30 669.49 7.476 33 668.04 7.460 40 666.85 7.446 32 666.25 7.440 31 665.05 7.426 53 663.09 7.404 108 662.23 7.395 160 661.21 7.383 122 660.10 7.371 113 658.13 7.349 394 656.16 7.327 1000 654.80 7.312 971 654.20 7.305 900 653.09 7.293 383 650.95 7.269 336 649.41 7.252 226 648.39 7.240 88 646.85 7.223 141 645.65 7.210 67 645.23 7.205 69 644.03 7.192 84 642.66 7.176 37 641.38 7.162 40 603.02 6.734 118 602.33 6.726 150 586.69 6.551 422 575.33 6.424 223 568.66 6.350 342 562.00 6.276 206 559.69 6.250 58 553.03 6.175 121 546.36 6.101 100 379.82 4.241 595 379.05 4.233 623 373.07 4.166 688
更多供应商




